Syntax:
fix ID group-ID nphug keyword value ...
one or more keyword value pairs may be appended
keyword = temp or iso or aniso or tri or x or y or z or couple or tchain or pchain or mtk or tloop or ploop or nreset or drag or dilate or scaleyz or scalexz or scalexy
temp values = Value1 Value2 Tdamp
Value1, Value2 = Nose-Hoover target temperatures, ignored by Hugoniostat
Tdamp = temperature damping parameter (time units)
iso or aniso or tri values = Pstart Pstop Pdamp
Pstart,Pstop = scalar external pressures, must be equal (pressure units)
Pdamp = pressure damping parameter (time units)
x or y or z or xy or yz or xz values = Pstart Pstop Pdamp
Pstart,Pstop = external stress tensor components, must be equal (pressure units)
Pdamp = stress damping parameter (time units)
couple = none or xyz or xy or yz or xz
tchain value = length of thermostat chain (1 = single thermostat)
pchain values = length of thermostat chain on barostat (0 = no thermostat)
mtk value = yes or no = add in MTK adjustment term or not
tloop value = number of sub-cycles to perform on thermostat
ploop value = number of sub-cycles to perform on barostat thermostat
nreset value = reset reference cell every this many timesteps
drag value = drag factor added to barostat/thermostat (0.0 = no drag)
dilate value = all or partial
scaleyz value = yes or no = scale yz with lz
scalexz value = yes or no = scale xz with lz
scalexy value = yes or no = scale xy with ly
Examples:
fix myhug all nphug temp 1.0 1.0 10.0 z 40.0 40.0 70.0 fix myhug all nphug temp 1.0 1.0 10.0 iso 40.0 40.0 70.0 drag 200.0 tchain 1 pchain 0
Description:
This command is a variant of the Nose-Hoover fix npt fix style. It performs time integration of the Hugoniostat equations of motion developed by Ravelo et al. (Ravelo). These equations compress the system to a state with average axial stress or pressure equal to the specified target value and that satisfies the Rankine-Hugoniot (RH) jump conditions for steady shocks.
The compression can be performed either hydrostatically (using keyword iso, aniso, or tri) or uniaxially (using keywords x, y, or z). In the hydrostatic case, the cell dimensions change dynamically so that the average axial stress in all three directions converges towards the specified target value. In the uniaxial case, the chosen cell dimension changes dynamically so that the average axial stress in that direction converges towards the target value. The other two cell dimensions are kept fixed (zero lateral strain).
This leads to the following additional restrictions on the keywords:
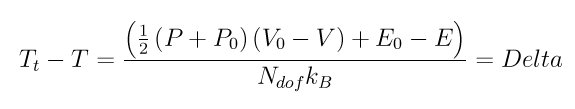
Essentially, a Hugoniostat simulation is an NPT simulation in which the user-specified target temperature is replaced with a time-dependent target temperature Tt obtained from the following equation:
where T and Tt are the instantaneous and target temperatures, P and P0 are the instantaneous and reference pressures or axial stresses, depending on whether hydrostatic or uniaxial compression is being performed, V and V0 are the instantaneous and reference volumes, E and E0 are the instantaneous and reference internal energy (potential plus kinetic), Ndof is the number of degrees of freedom used in the definition of temperature, and kB is the Boltzmann constant. Delta is the negative deviation of the instantaneous temperature from the target temperature. When the system reaches a stable equilibrium, the value of Delta should fluctuate about zero.
The values of E0, V0, and P0 are the instantaneous values at the start of the simulation. These can be overridden using the fix_modify keywords e0, v0, and p0 described below.
IMPORTANT NOTE: Unlike the fix temp/berendsen command which performs thermostatting but NO time integration, this fix performs thermostatting/barostatting AND time integration. Thus you should not use any other time integration fix, such as fix nve on atoms to which this fix is applied. Likewise, this fix should not be used on atoms that have their temperature controlled by another fix - e.g. by fix langevin or fix temp/rescale commands.
This fix computes a temperature and pressure at each timestep. To do this, the fix creates its own computes of style "temp" and "pressure", as if one of these two sets of commands had been issued:
compute fix-ID_temp group-ID temp compute fix-ID_press group-ID pressure fix-ID_temp
compute fix-ID_temp all temp compute fix-ID_press all pressure fix-ID_temp
See the compute temp and compute pressure commands for details. Note that the IDs of the new computes are the fix-ID + underscore + "temp" or fix_ID + underscore + "press". The group for the new computes is "all" since pressure is computed for the entire system.
Note that these are NOT the computes used by thermodynamic output (see the thermo_style command) with ID = thermo_temp and thermo_press. This means you can change the attributes of this fix's temperature or pressure via the compute_modify command or print this temperature or pressure during thermodynamic output via the thermo_style custom command using the appropriate compute-ID. It also means that changing attributes of thermo_temp or thermo_press will have no effect on this fix.
Restart, fix_modify, output, run start/stop, minimize info:
This fix writes the values of E0, V0, and P0, as well as the state of all the thermostat and barostat variables to binary restart files. See the read_restart command for info on how to re-specify a fix in an input script that reads a restart file, so that the operation of the fix continues in an uninterrupted fashion.
The fix_modify e0, v0 and p0 keywords can be used to define the values of E0, V0, and P0. Note the the values for e0 and v0 are extensive, and so must correspond to the total energy and volume of the entire system, not energy and volume per atom. If any of these quantities are not specified, then the instantaneous value in the system at the start of the simulation is used.
The fix_modify temp and press options are supported by these fixes. You can use them to assign a compute you have defined to this fix which will be used in its thermostatting or barostatting procedure, as described above. If you do this, note that the kinetic energy derived from the compute temperature should be consistent with the virial term computed using all atoms for the pressure. LAMMPS will warn you if you choose to compute temperature on a subset of atoms.
The fix_modify energy option is supported by these fixes to add the energy change induced by Nose/Hoover thermostatting and barostatting to the system's potential energy as part of thermodynamic output. Either way, this energy is *not* included in the definition of internal energy E when calculating the value of Delta in the above equation.
These fixes compute a global scalar and a global vector of quantities, which can be accessed by various output commands. The scalar value calculated by these fixes is "extensive"; the vector values are "intensive".
The scalar is the cumulative energy change due to the fix.
The vector stores three quantities unique to this fix (Delta, Us, and up), followed by all the internal Nose/Hoover thermostat and barostat variables defined for fix_style npt. Delta is the deviation of the temperature from the target temperature, given by the above equation. Us and up are the shock and particle velocity corresponding to a steady shock calculated from the RH conditions. They have units of distance/time.
Restrictions:
This fix style is part of the SHOCK package. It is only enabled if LAMMPS was built with that package. See the Making LAMMPS section for more info.
All the usual restrictions for fix_style npt apply, plus the additional ones mentioned above.
Related commands:
Default:
The keyword defaults are the same as those for fix npt
(Ravelo) Ravelo, Holian, Germann and Lomdahl, Phys Rev B, 70, 014103 (2004).