LAMMPS WWW Site - LAMMPS Documentation - LAMMPS Commands

fix spring/rg command

Syntax:

fix ID group-ID spring/rg K RG0 
  if RG0 = NULL, use the current RG as the target value 

Examples:

fix 1 protein spring/rg 5.0 10.0
fix 2 micelle spring/rg 5.0 NULL 

Description:

Apply a harmonic restraining force to atoms in the group to affect their central moment about the center of mass (radius of gyration). This fix is useful to encourage a protein or polymer to fold/unfold and also when sampling along the radius of gyration as a reaction coordinate (i.e. for protein folding).

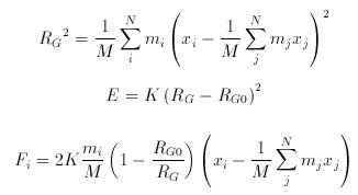
The radius of gyration is defined as RG in the first formula. The energy of the constraint and associated force on each atom is given by the second and third formulas, when the group is at a different RG than the target value RG0.

The (xi - center-of-mass) term is computed taking into account periodic boundary conditions, m_i is the mass of the atom, and M is the mass of the entire group. Note that K is thus a force constant for the aggregate force on the group of atoms, not a per-atom force.

If RG0 is specified as NULL, then the RG of the group is computed at the time the fix is specified, and that value is used as the target.

Restrictions: none

Related commands:

fix spring, fix spring/self

Default: none