LAMMPS WWW Site - LAMMPS Documentation - LAMMPS Commands

angle_style class2 command

angle_style class2/omp command

Syntax:

angle_style class2 

Examples:

angle_style class2
angle_coeff * 75.0
angle_coeff 1 bb 10.5872 1.0119 1.5228
angle_coeff * ba 3.6551 24.895 1.0119 1.5228 

Description:

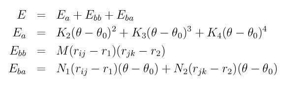
The class2 angle style uses the potential

where Ea is the angle term, Ebb is a bond-bond term, and Eba is a bond-angle term. Theta0 is the equilibrium angle and r1 and r2 are the equilibrium bond lengths.

See (Sun) for a description of the COMPASS class2 force field.

Coefficients for the Ea, Ebb, and Eba formulas must be defined for each angle type via the bond_coeff command as in the example above, or in the data file or restart files read by the read_data or read_restart commands.

These are the 4 coefficients for the Ea formula:

Theta0 is specified in degrees, but LAMMPS converts it to radians internally; hence the units of the various K are in per-radian.

For the Ebb formula, each line in a bond_coeff command in the input script lists 4 coefficients, the first of which is "bb" to indicate they are BondBond coefficients. In a data file, these coefficients should be listed under a "BondBond Coeffs" heading and you must leave out the "bb", i.e. only list 3 coefficients after the angle type.

For the Eba formula, each line in a bond_coeff command in the input script lists 5 coefficients, the first of which is "ba" to indicate they are BondAngle coefficients. In a data file, these coefficients should be listed under a "BondAngle Coeffs" heading and you must leave out the "ba", i.e. only list 4 coefficients after the angle type.

The theta0 value in the Eba formula is not specified, since it is the same value from the Ea formula.


Styles with a cuda, gpu, omp, or opt suffix are functionally the same as the corresponding style without the suffix. They have been optimized to run faster, depending on your available hardware, as discussed in Section_accelerate of the manual. The accelerated styles take the same arguments and should produce the same results, except for round-off and precision issues.

These accelerated styles are part of the USER-CUDA, GPU, USER-OMP and OPT packages, respectively. They are only enabled if LAMMPS was built with those packages. See the Making LAMMPS section for more info.

You can specify the accelerated styles explicitly in your input script by including their suffix, or you can use the -suffix command-line switch when you invoke LAMMPS, or you can use the suffix command in your input script.

See Section_accelerate of the manual for more instructions on how to use the accelerated styles effectively.


Restrictions:

This angle style can only be used if LAMMPS was built with the CLASS2 package. See the Making LAMMPS section for more info on packages.

Related commands:

angle_coeff

Default: none


(Sun) Sun, J Phys Chem B 102, 7338-7364 (1998).