LAMMPS WWW Site - LAMMPS Documentation - LAMMPS Commands

improper_style class2 command

Syntax:

improper_style class2 

Examples:

improper_style class2
improper_coeff 1 100.0 0
improper_coeff * aa 0.0 0.0 0.0 115.06 130.01 115.06 

Description:

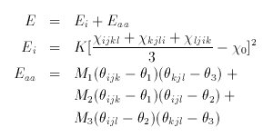
The class2 improper style uses the potential

where Ei is the improper term and Eaa is an angle-angle term. The 3 X terms in Ei are an average over 3 out-of-plane angles.

The 4 atoms in an improper quadruplet (listed in the data file read by the read_data command) are ordered I,J,K,L. X_IJKL refers to the angle between the plane of I,J,K and the plane of J,K,L, and the bond JK lies in both planes. Similarly for X_KJLI and X_LJIK. Note that atom J appears in the common bonds (JI, JK, JL) of all 3 X terms. Thus J (the 2nd atom in the quadruplet) is the atom of symmetry in the 3 X angles.

The subscripts on the various theta's refer to different combinations of 3 atoms (I,J,K,L) used to form a particular angle. E.g. Theta_IJL is the angle formed by atoms I,J,L with J in the middle. Theta1, theta2, theta3 are the equilibrium positions of those angles. Again, atom J (the 2nd atom in the quadruplet) is the atom of symmetry in the theta angles, since it is always the center atom.

Since atom J is the atom of symmetry, normally the bonds J-I, J-K, J-L would exist for an improper to be defined between the 4 atoms, but this is not required.

See (Sun) for a description of the COMPASS class2 force field.

Coefficients for the Ei and Eaa formulas must be defined for each improper type via the improper_coeff command as in the example above, or in the data file or restart files read by the read_data or read_restart commands.

These are the 2 coefficients for the Ei formula:

X0 is specified in degrees, but LAMMPS converts it to radians internally; hence the units of K are in energy/radian^2.

For the Eaa formula, each line in a improper_coeff command in the input script lists 7 coefficients, the first of which is "aa" to indicate they are AngleAngle coefficients. In a data file, these coefficients should be listed under a "AngleAngle Coeffs" heading and you must leave out the "aa", i.e. only list 6 coefficients after the improper type.

The theta values are specified in degrees, but LAMMPS converts them to radians internally; hence the units of M are in energy/radian^2.

Restrictions:

This improper style can only be used if LAMMPS was built with the CLASS2 package. See the Making LAMMPS section for more info on packages.

Related commands:

improper_coeff

Default: none


(Sun) Sun, J Phys Chem B 102, 7338-7364 (1998).