6. How-to discussions

This section describes how to perform common tasks using LAMMPS.

The example input scripts included in the LAMMPS distribution and highlighted in Section_example also show how to setup and run various kinds of simulations.

6.1. Restarting a simulation

There are 3 ways to continue a long LAMMPS simulation. Multiple run commands can be used in the same input script. Each run will continue from where the previous run left off. Or binary restart files can be saved to disk using the restart command. At a later time, these binary files can be read via a read_restart command in a new script. Or they can be converted to text data files using the -r command-line switch and read by a read_data command in a new script.

Here we give examples of 2 scripts that read either a binary restart file or a converted data file and then issue a new run command to continue where the previous run left off. They illustrate what settings must be made in the new script. Details are discussed in the documentation for the read_restart and read_data commands.

Look at the in.chain input script provided in the bench directory of the LAMMPS distribution to see the original script that these 2 scripts are based on. If that script had the line

restart              50 tmp.restart

added to it, it would produce 2 binary restart files (tmp.restart.50 and tmp.restart.100) as it ran.

This script could be used to read the 1st restart file and re-run the last 50 timesteps:

read_restart tmp.restart.50
neighbor     0.4 bin
neigh_modify every 1 delay 1
fix          1 all nve
fix          2 all langevin 1.0 1.0 10.0 904297
timestep     0.012
run          50

Note that the following commands do not need to be repeated because their settings are included in the restart file: units, atom_style, special_bonds, pair_style, bond_style. However these commands do need to be used, since their settings are not in the restart file: neighbor, fix, timestep.

If you actually use this script to perform a restarted run, you will notice that the thermodynamic data match at step 50 (if you also put a “thermo 50” command in the original script), but do not match at step 100. This is because the fix langevin command uses random numbers in a way that does not allow for perfect restarts.

As an alternate approach, the restart file could be converted to a data file as follows:

lmp_g++ -r tmp.restart.50 tmp.restart.data

Then, this script could be used to re-run the last 50 steps:

units                lj
atom_style   bond
pair_style   lj/cut 1.12
pair_modify  shift yes
bond_style   fene
special_bonds   0.0 1.0 1.0
read_data    tmp.restart.data
neighbor     0.4 bin
neigh_modify every 1 delay 1
fix          1 all nve
fix          2 all langevin 1.0 1.0 10.0 904297
timestep     0.012
reset_timestep       50
run          50

Note that nearly all the settings specified in the original in.chain script must be repeated, except the pair_coeff and bond_coeff commands since the new data file lists the force field coefficients. Also, the reset_timestep command is used to tell LAMMPS the current timestep. This value is stored in restart files, but not in data files.


6.2. 2d simulations

Use the dimension command to specify a 2d simulation.

Make the simulation box periodic in z via the boundary command. This is the default.

If using the create box command to define a simulation box, set the z dimensions narrow, but finite, so that the create_atoms command will tile the 3d simulation box with a single z plane of atoms - e.g.

create box 1 -10 10 -10 10 -0.25 0.25

If using the read data command to read in a file of atom coordinates, set the “zlo zhi” values to be finite but narrow, similar to the create_box command settings just described. For each atom in the file, assign a z coordinate so it falls inside the z-boundaries of the box - e.g. 0.0.

Use the fix enforce2d command as the last defined fix to insure that the z-components of velocities and forces are zeroed out every timestep. The reason to make it the last fix is so that any forces induced by other fixes will be zeroed out.

Many of the example input scripts included in the LAMMPS distribution are for 2d models.

Note

Some models in LAMMPS treat particles as finite-size spheres, as opposed to point particles. In 2d, the particles will still be spheres, not disks, meaning their moment of inertia will be the same as in 3d.


6.3. CHARMM, AMBER, and DREIDING force fields

A force field has 2 parts: the formulas that define it and the coefficients used for a particular system. Here we only discuss formulas implemented in LAMMPS that correspond to formulas commonly used in the CHARMM, AMBER, and DREIDING force fields. Setting coefficients is done in the input data file via the read_data command or in the input script with commands like pair_coeff or bond_coeff. See Section_tools for additional tools that can use CHARMM or AMBER to assign force field coefficients and convert their output into LAMMPS input.

See (MacKerell) for a description of the CHARMM force field. See (Cornell) for a description of the AMBER force field.

These style choices compute force field formulas that are consistent with common options in CHARMM or AMBER. See each command’s documentation for the formula it computes.

DREIDING is a generic force field developed by the Goddard group at Caltech and is useful for predicting structures and dynamics of organic, biological and main-group inorganic molecules. The philosophy in DREIDING is to use general force constants and geometry parameters based on simple hybridization considerations, rather than individual force constants and geometric parameters that depend on the particular combinations of atoms involved in the bond, angle, or torsion terms. DREIDING has an explicit hydrogen bond term to describe interactions involving a hydrogen atom on very electronegative atoms (N, O, F).

See (Mayo) for a description of the DREIDING force field

These style choices compute force field formulas that are consistent with the DREIDING force field. See each command’s documentation for the formula it computes.


6.4. Running multiple simulations from one input script

This can be done in several ways. See the documentation for individual commands for more details on how these examples work.

If “multiple simulations” means continue a previous simulation for more timesteps, then you simply use the run command multiple times. For example, this script

units lj
atom_style atomic
read_data data.lj
run 10000
run 10000
run 10000
run 10000
run 10000

would run 5 successive simulations of the same system for a total of 50,000 timesteps.

If you wish to run totally different simulations, one after the other, the clear command can be used in between them to re-initialize LAMMPS. For example, this script

units lj
atom_style atomic
read_data data.lj
run 10000
clear
units lj
atom_style atomic
read_data data.lj.new
run 10000

would run 2 independent simulations, one after the other.

For large numbers of independent simulations, you can use variables and the next and jump commands to loop over the same input script multiple times with different settings. For example, this script, named in.polymer

variable d index run1 run2 run3 run4 run5 run6 run7 run8
shell cd $d
read_data data.polymer
run 10000
shell cd ..
clear
next d
jump in.polymer

would run 8 simulations in different directories, using a data.polymer file in each directory. The same concept could be used to run the same system at 8 different temperatures, using a temperature variable and storing the output in different log and dump files, for example

variable a loop 8
variable t index 0.8 0.85 0.9 0.95 1.0 1.05 1.1 1.15
log log.$a
read data.polymer
velocity all create $t 352839
fix 1 all nvt $t $t 100.0
dump 1 all atom 1000 dump.$a
run 100000
clear
next t
next a
jump in.polymer

All of the above examples work whether you are running on 1 or multiple processors, but assumed you are running LAMMPS on a single partition of processors. LAMMPS can be run on multiple partitions via the “-partition” command-line switch as described in this section of the manual.

In the last 2 examples, if LAMMPS were run on 3 partitions, the same scripts could be used if the “index” and “loop” variables were replaced with universe-style variables, as described in the variable command. Also, the “next t” and “next a” commands would need to be replaced with a single “next a t” command. With these modifications, the 8 simulations of each script would run on the 3 partitions one after the other until all were finished. Initially, 3 simulations would be started simultaneously, one on each partition. When one finished, that partition would then start the 4th simulation, and so forth, until all 8 were completed.


6.5. Multi-replica simulations

Several commands in LAMMPS run mutli-replica simulations, meaning that multiple instances (replicas) of your simulation are run simultaneously, with small amounts of data exchanged between replicas periodically.

These are the relevant commands:

  • neb for nudged elastic band calculations
  • prd for parallel replica dynamics
  • tad for temperature accelerated dynamics
  • temper for parallel tempering
  • fix pimd for path-integral molecular dynamics (PIMD)

NEB is a method for finding transition states and barrier energies. PRD and TAD are methods for performing accelerated dynamics to find and perform infrequent events. Parallel tempering or replica exchange runs different replicas at a series of temperature to facilitate rare-event sampling.

These commands can only be used if LAMMPS was built with the REPLICA package. See the Making LAMMPS section for more info on packages.

PIMD runs different replicas whose individual particles are coupled together by springs to model a system or ring-polymers.

This commands can only be used if LAMMPS was built with the USER-MISC package. See the Making LAMMPS section for more info on packages.

In all these cases, you must run with one or more processors per replica. The processors assigned to each replica are determined at run-time by using the -partition command-line switch to launch LAMMPS on multiple partitions, which in this context are the same as replicas. E.g. these commands:

mpirun -np 16 lmp_linux -partition 8x2 -in in.temper
mpirun -np 8 lmp_linux -partition 8x1 -in in.neb

would each run 8 replicas, on either 16 or 8 processors. Note the use of the -in command-line switch to specify the input script which is required when running in multi-replica mode.

Also note that with MPI installed on a machine (e.g. your desktop), you can run on more (virtual) processors than you have physical processors. Thus the above commands could be run on a single-processor (or few-processor) desktop so that you can run a multi-replica simulation on more replicas than you have physical processors.


6.6. Granular models

Granular system are composed of spherical particles with a diameter, as opposed to point particles. This means they have an angular velocity and torque can be imparted to them to cause them to rotate.

To run a simulation of a granular model, you will want to use the following commands:

This compute

calculates rotational kinetic energy which can be output with thermodynamic info.

Use one of these 3 pair potentials, which compute forces and torques between interacting pairs of particles:

These commands implement fix options specific to granular systems:

The fix style freeze zeroes both the force and torque of frozen atoms, and should be used for granular system instead of the fix style setforce.

For computational efficiency, you can eliminate needless pairwise computations between frozen atoms by using this command:


6.7. TIP3P water model

The TIP3P water model as implemented in CHARMM (MacKerell) specifies a 3-site rigid water molecule with charges and Lennard-Jones parameters assigned to each of the 3 atoms. In LAMMPS the fix shake command can be used to hold the two O-H bonds and the H-O-H angle rigid. A bond style of harmonic and an angle style of harmonic or charmm should also be used.

These are the additional parameters (in real units) to set for O and H atoms and the water molecule to run a rigid TIP3P-CHARMM model with a cutoff. The K values can be used if a flexible TIP3P model (without fix shake) is desired. If the LJ epsilon and sigma for HH and OH are set to 0.0, it corresponds to the original 1983 TIP3P model (Jorgensen).

O mass = 15.9994
H mass = 1.008
O charge = -0.834
H charge = 0.417
LJ epsilon of OO = 0.1521
LJ sigma of OO = 3.1507
LJ epsilon of HH = 0.0460
LJ sigma of HH = 0.4000
LJ epsilon of OH = 0.0836
LJ sigma of OH = 1.7753
K of OH bond = 450
r0 of OH bond = 0.9572
K of HOH angle = 55
theta of HOH angle = 104.52

These are the parameters to use for TIP3P with a long-range Coulombic solver (e.g. Ewald or PPPM in LAMMPS), see (Price) for details:

O mass = 15.9994
H mass = 1.008
O charge = -0.830
H charge = 0.415
LJ epsilon of OO = 0.102
LJ sigma of OO = 3.188
LJ epsilon, sigma of OH, HH = 0.0
K of OH bond = 450
r0 of OH bond = 0.9572
K of HOH angle = 55
theta of HOH angle = 104.52

Wikipedia also has a nice article on water models.


6.8. TIP4P water model

The four-point TIP4P rigid water model extends the traditional three-point TIP3P model by adding an additional site, usually massless, where the charge associated with the oxygen atom is placed. This site M is located at a fixed distance away from the oxygen along the bisector of the HOH bond angle. A bond style of harmonic and an angle style of harmonic or charmm should also be used.

A TIP4P model is run with LAMMPS using either this command for a cutoff model:

pair_style lj/cut/tip4p/cut

or these two commands for a long-range model:

For both models, the bond lengths and bond angles should be held fixed using the fix shake command.

These are the additional parameters (in real units) to set for O and H atoms and the water molecule to run a rigid TIP4P model with a cutoff (Jorgensen). Note that the OM distance is specified in the pair_style command, not as part of the pair coefficients.

O mass = 15.9994
H mass = 1.008
O charge = -1.040
H charge = 0.520
r0 of OH bond = 0.9572
theta of HOH angle = 104.52
OM distance = 0.15
LJ epsilon of O-O = 0.1550
LJ sigma of O-O = 3.1536
LJ epsilon, sigma of OH, HH = 0.0
Coulombic cutoff = 8.5

For the TIP4/Ice model (J Chem Phys, 122, 234511 (2005); http://dx.doi.org/10.1063/1.1931662) these values can be used:

O mass = 15.9994
H mass = 1.008
O charge = -1.1794
H charge = 0.5897
r0 of OH bond = 0.9572
theta of HOH angle = 104.52
OM distance = 0.1577
LJ epsilon of O-O = 0.21084
LJ sigma of O-O = 3.1668
LJ epsilon, sigma of OH, HH = 0.0
Coulombic cutoff = 8.5

For the TIP4P/2005 model (J Chem Phys, 123, 234505 (2005); http://dx.doi.org/10.1063/1.2121687), these values can be used:

O mass = 15.9994
H mass = 1.008
O charge = -1.1128
H charge = 0.5564
r0 of OH bond = 0.9572
theta of HOH angle = 104.52
OM distance = 0.1546
LJ epsilon of O-O = 0.1852
LJ sigma of O-O = 3.1589
LJ epsilon, sigma of OH, HH = 0.0
Coulombic cutoff = 8.5

These are the parameters to use for TIP4P with a long-range Coulombic solver (e.g. Ewald or PPPM in LAMMPS):

O mass = 15.9994
H mass = 1.008
O charge = -1.0484
H charge = 0.5242
r0 of OH bond = 0.9572
theta of HOH angle = 104.52
OM distance = 0.1250
LJ epsilon of O-O = 0.16275
LJ sigma of O-O = 3.16435
LJ epsilon, sigma of OH, HH = 0.0

Note that the when using the TIP4P pair style, the neighobr list cutoff for Coulomb interactions is effectively extended by a distance 2 * (OM distance), to account for the offset distance of the fictitious charges on O atoms in water molecules. Thus it is typically best in an efficiency sense to use a LJ cutoff >= Coulomb cutoff + 2*(OM distance), to shrink the size of the neighbor list. This leads to slightly larger cost for the long-range calculation, so you can test the trade-off for your model. The OM distance and the LJ and Coulombic cutoffs are set in the pair_style lj/cut/tip4p/long command.

Wikipedia also has a nice article on water models.


6.9. SPC water model

The SPC water model specifies a 3-site rigid water molecule with charges and Lennard-Jones parameters assigned to each of the 3 atoms. In LAMMPS the fix shake command can be used to hold the two O-H bonds and the H-O-H angle rigid. A bond style of harmonic and an angle style of harmonic or charmm should also be used.

These are the additional parameters (in real units) to set for O and H atoms and the water molecule to run a rigid SPC model.

O mass = 15.9994
H mass = 1.008
O charge = -0.820
H charge = 0.410
LJ epsilon of OO = 0.1553
LJ sigma of OO = 3.166
LJ epsilon, sigma of OH, HH = 0.0
r0 of OH bond = 1.0
theta of HOH angle = 109.47

Note that as originally proposed, the SPC model was run with a 9 Angstrom cutoff for both LJ and Coulommbic terms. It can also be used with long-range Coulombics (Ewald or PPPM in LAMMPS), without changing any of the parameters above, though it becomes a different model in that mode of usage.

The SPC/E (extended) water model is the same, except the partial charge assignemnts change:

O charge = -0.8476
H charge = 0.4238

See the (Berendsen) reference for more details on both the SPC and SPC/E models.

Wikipedia also has a nice article on water models.


6.10. Coupling LAMMPS to other codes

LAMMPS is designed to allow it to be coupled to other codes. For example, a quantum mechanics code might compute forces on a subset of atoms and pass those forces to LAMMPS. Or a continuum finite element (FE) simulation might use atom positions as boundary conditions on FE nodal points, compute a FE solution, and return interpolated forces on MD atoms.

LAMMPS can be coupled to other codes in at least 3 ways. Each has advantages and disadvantages, which you’ll have to think about in the context of your application.

(1) Define a new fix command that calls the other code. In this scenario, LAMMPS is the driver code. During its timestepping, the fix is invoked, and can make library calls to the other code, which has been linked to LAMMPS as a library. This is the way the POEMS package that performs constrained rigid-body motion on groups of atoms is hooked to LAMMPS. See the fix poems command for more details. See this section of the documentation for info on how to add a new fix to LAMMPS.

(2) Define a new LAMMPS command that calls the other code. This is conceptually similar to method (1), but in this case LAMMPS and the other code are on a more equal footing. Note that now the other code is not called during the timestepping of a LAMMPS run, but between runs. The LAMMPS input script can be used to alternate LAMMPS runs with calls to the other code, invoked via the new command. The run command facilitates this with its every option, which makes it easy to run a few steps, invoke the command, run a few steps, invoke the command, etc.

In this scenario, the other code can be called as a library, as in (1), or it could be a stand-alone code, invoked by a system() call made by the command (assuming your parallel machine allows one or more processors to start up another program). In the latter case the stand-alone code could communicate with LAMMPS thru files that the command writes and reads.

See Section_modify of the documentation for how to add a new command to LAMMPS.

(3) Use LAMMPS as a library called by another code. In this case the other code is the driver and calls LAMMPS as needed. Or a wrapper code could link and call both LAMMPS and another code as libraries. Again, the run command has options that allow it to be invoked with minimal overhead (no setup or clean-up) if you wish to do multiple short runs, driven by another program.

Examples of driver codes that call LAMMPS as a library are included in the examples/COUPLE directory of the LAMMPS distribution; see examples/COUPLE/README for more details:

  • simple: simple driver programs in C++ and C which invoke LAMMPS as a library
  • lammps_quest: coupling of LAMMPS and Quest, to run classical MD with quantum forces calculated by a density functional code
  • lammps_spparks: coupling of LAMMPS and SPPARKS, to couple a kinetic Monte Carlo model for grain growth using MD to calculate strain induced across grain boundaries

This section of the documentation describes how to build LAMMPS as a library. Once this is done, you can interface with LAMMPS either via C++, C, Fortran, or Python (or any other language that supports a vanilla C-like interface). For example, from C++ you could create one (or more) “instances” of LAMMPS, pass it an input script to process, or execute individual commands, all by invoking the correct class methods in LAMMPS. From C or Fortran you can make function calls to do the same things. See Section_python of the manual for a description of the Python wrapper provided with LAMMPS that operates through the LAMMPS library interface.

The files src/library.cpp and library.h contain the C-style interface to LAMMPS. See Section_howto 19 of the manual for a description of the interface and how to extend it for your needs.

Note that the lammps_open() function that creates an instance of LAMMPS takes an MPI communicator as an argument. This means that instance of LAMMPS will run on the set of processors in the communicator. Thus the calling code can run LAMMPS on all or a subset of processors. For example, a wrapper script might decide to alternate between LAMMPS and another code, allowing them both to run on all the processors. Or it might allocate half the processors to LAMMPS and half to the other code and run both codes simultaneously before syncing them up periodically. Or it might instantiate multiple instances of LAMMPS to perform different calculations.


6.11. Visualizing LAMMPS snapshots

LAMMPS itself does not do visualization, but snapshots from LAMMPS simulations can be visualized (and analyzed) in a variety of ways.

LAMMPS snapshots are created by the dump command which can create files in several formats. The native LAMMPS dump format is a text file (see “dump atom” or “dump custom”) which can be visualized by the xmovie program, included with the LAMMPS package. This produces simple, fast 2d projections of 3d systems, and can be useful for rapid debugging of simulation geometry and atom trajectories.

Several programs included with LAMMPS as auxiliary tools can convert native LAMMPS dump files to other formats. See the Section_tools doc page for details. The first is the ch2lmp tool, which contains a lammps2pdb Perl script which converts LAMMPS dump files into PDB files. The second is the lmp2arc tool which converts LAMMPS dump files into Accelrys’ Insight MD program files. The third is the lmp2cfg tool which converts LAMMPS dump files into CFG files which can be read into the AtomEye visualizer.

A Python-based toolkit distributed by our group can read native LAMMPS dump files, including custom dump files with additional columns of user-specified atom information, and convert them to various formats or pipe them into visualization software directly. See the Pizza.py WWW site for details. Specifically, Pizza.py can convert LAMMPS dump files into PDB, XYZ, Ensight, and VTK formats. Pizza.py can pipe LAMMPS dump files directly into the Raster3d and RasMol visualization programs. Pizza.py has tools that do interactive 3d OpenGL visualization and one that creates SVG images of dump file snapshots.

LAMMPS can create XYZ files directly (via “dump xyz”) which is a simple text-based file format used by many visualization programs including VMD.

LAMMPS can create DCD files directly (via “dump dcd”) which can be read by VMD in conjunction with a CHARMM PSF file. Using this form of output avoids the need to convert LAMMPS snapshots to PDB files. See the dump command for more information on DCD files.

LAMMPS can create XTC files directly (via “dump xtc”) which is GROMACS file format which can also be read by VMD for visualization. See the dump command for more information on XTC files.


6.12. Triclinic (non-orthogonal) simulation boxes

By default, LAMMPS uses an orthogonal simulation box to encompass the particles. The boundary command sets the boundary conditions of the box (periodic, non-periodic, etc). The orthogonal box has its “origin” at (xlo,ylo,zlo) and is defined by 3 edge vectors starting from the origin given by a = (xhi-xlo,0,0); b = (0,yhi-ylo,0); c = (0,0,zhi-zlo). The 6 parameters (xlo,xhi,ylo,yhi,zlo,zhi) are defined at the time the simulation box is created, e.g. by the create_box or read_data or read_restart commands. Additionally, LAMMPS defines box size parameters lx,ly,lz where lx = xhi-xlo, and similarly in the y and z dimensions. The 6 parameters, as well as lx,ly,lz, can be output via the thermo_style custom command.

LAMMPS also allows simulations to be performed in triclinic (non-orthogonal) simulation boxes shaped as a parallelepiped with triclinic symmetry. The parallelepiped has its “origin” at (xlo,ylo,zlo) and is defined by 3 edge vectors starting from the origin given by a = (xhi-xlo,0,0); b = (xy,yhi-ylo,0); c = (xz,yz,zhi-zlo). xy,xz,yz can be 0.0 or positive or negative values and are called “tilt factors” because they are the amount of displacement applied to faces of an originally orthogonal box to transform it into the parallelepiped. In LAMMPS the triclinic simulation box edge vectors a, b, and c cannot be arbitrary vectors. As indicated, a must lie on the positive x axis. b must lie in the xy plane, with strictly positive y component. c may have any orientation with strictly positive z component. The requirement that a, b, and c have strictly positive x, y, and z components, respectively, ensures that a, b, and c form a complete right-handed basis. These restrictions impose no loss of generality, since it is possible to rotate/invert any set of 3 crystal basis vectors so that they conform to the restrictions.

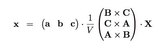
For example, assume that the 3 vectors A,B,C are the edge vectors of a general parallelepiped, where there is no restriction on A,B,C other than they form a complete right-handed basis i.e. A x B . C > 0. The equivalent LAMMPS a,b,c are a linear rotation of A, B, and C and can be computed as follows:

_images/transform.jpg

where A = |A| indicates the scalar length of A. The ^ hat symbol indicates the corresponding unit vector. beta and gamma are angles between the vectors described below. Note that by construction, a, b, and c have strictly positive x, y, and z components, respectively. If it should happen that A, B, and C form a left-handed basis, then the above equations are not valid for c. In this case, it is necessary to first apply an inversion. This can be achieved by interchanging two basis vectors or by changing the sign of one of them.

For consistency, the same rotation/inversion applied to the basis vectors must also be applied to atom positions, velocities, and any other vector quantities. This can be conveniently achieved by first converting to fractional coordinates in the old basis and then converting to distance coordinates in the new basis. The transformation is given by the following equation:

_images/rotate.jpg

where V is the volume of the box, X is the original vector quantity and x is the vector in the LAMMPS basis.

There is no requirement that a triclinic box be periodic in any dimension, though it typically should be in at least the 2nd dimension of the tilt (y in xy) if you want to enforce a shift in periodic boundary conditions across that boundary. Some commands that work with triclinic boxes, e.g. the fix deform and fix npt commands, require periodicity or non-shrink-wrap boundary conditions in specific dimensions. See the command doc pages for details.

The 9 parameters (xlo,xhi,ylo,yhi,zlo,zhi,xy,xz,yz) are defined at the time the simluation box is created. This happens in one of 3 ways. If the create_box command is used with a region of style prism, then a triclinic box is setup. See the region command for details. If the read_data command is used to define the simulation box, and the header of the data file contains a line with the “xy xz yz” keyword, then a triclinic box is setup. See the read_data command for details. Finally, if the read_restart command reads a restart file which was written from a simulation using a triclinic box, then a triclinic box will be setup for the restarted simulation.

Note that you can define a triclinic box with all 3 tilt factors = 0.0, so that it is initially orthogonal. This is necessary if the box will become non-orthogonal, e.g. due to the fix npt or fix deform commands. Alternatively, you can use the change_box command to convert a simulation box from orthogonal to triclinic and vice versa.

As with orthogonal boxes, LAMMPS defines triclinic box size parameters lx,ly,lz where lx = xhi-xlo, and similarly in the y and z dimensions. The 9 parameters, as well as lx,ly,lz, can be output via the thermo_style custom command.

To avoid extremely tilted boxes (which would be computationally inefficient), LAMMPS normally requires that no tilt factor can skew the box more than half the distance of the parallel box length, which is the 1st dimension in the tilt factor (x for xz). This is required both when the simulation box is created, e.g. via the create_box or read_data commands, as well as when the box shape changes dynamically during a simulation, e.g. via the fix deform or fix npt commands.

For example, if xlo = 2 and xhi = 12, then the x box length is 10 and the xy tilt factor must be between -5 and 5. Similarly, both xz and yz must be between -(xhi-xlo)/2 and +(yhi-ylo)/2. Note that this is not a limitation, since if the maximum tilt factor is 5 (as in this example), then configurations with tilt = ..., -15, -5, 5, 15, 25, ... are geometrically all equivalent. If the box tilt exceeds this limit during a dynamics run (e.g. via the fix deform command), then the box is “flipped” to an equivalent shape with a tilt factor within the bounds, so the run can continue. See the fix deform doc page for further details.

One exception to this rule is if the 1st dimension in the tilt factor (x for xy) is non-periodic. In that case, the limits on the tilt factor are not enforced, since flipping the box in that dimension does not change the atom positions due to non-periodicity. In this mode, if you tilt the system to extreme angles, the simulation will simply become inefficient, due to the highly skewed simulation box.

The limitation on not creating a simulation box with a tilt factor skewing the box more than half the distance of the parallel box length can be overridden via the box command. Setting the tilt keyword to large allows any tilt factors to be specified.

Box flips that may occur using the fix deform or fix npt commands can be turned off using the flip no option with either of the commands.

Note that if a simulation box has a large tilt factor, LAMMPS will run less efficiently, due to the large volume of communication needed to acquire ghost atoms around a processor’s irregular-shaped sub-domain. For extreme values of tilt, LAMMPS may also lose atoms and generate an error.

Triclinic crystal structures are often defined using three lattice constants a, b, and c, and three angles alpha, beta and gamma. Note that in this nomenclature, the a, b, and c lattice constants are the scalar lengths of the edge vectors a, b, and c defined above. The relationship between these 6 quantities (a,b,c,alpha,beta,gamma) and the LAMMPS box sizes (lx,ly,lz) = (xhi-xlo,yhi-ylo,zhi-zlo) and tilt factors (xy,xz,yz) is as follows:

_images/box.jpg

The inverse relationship can be written as follows:

_images/box_inverse.jpg

The values of a, b, c , alpha, beta , and gamma can be printed out or accessed by computes using the thermo_style custom keywords cella, cellb, cellc, cellalpha, cellbeta, cellgamma, respectively.

As discussed on the dump command doc page, when the BOX BOUNDS for a snapshot is written to a dump file for a triclinic box, an orthogonal bounding box which encloses the triclinic simulation box is output, along with the 3 tilt factors (xy, xz, yz) of the triclinic box, formatted as follows:

ITEM: BOX BOUNDS xy xz yz
xlo_bound xhi_bound xy
ylo_bound yhi_bound xz
zlo_bound zhi_bound yz

This bounding box is convenient for many visualization programs and is calculated from the 9 triclinic box parameters (xlo,xhi,ylo,yhi,zlo,zhi,xy,xz,yz) as follows:

xlo_bound = xlo + MIN(0.0,xy,xz,xy+xz)
xhi_bound = xhi + MAX(0.0,xy,xz,xy+xz)
ylo_bound = ylo + MIN(0.0,yz)
yhi_bound = yhi + MAX(0.0,yz)
zlo_bound = zlo
zhi_bound = zhi

These formulas can be inverted if you need to convert the bounding box back into the triclinic box parameters, e.g. xlo = xlo_bound - MIN(0.0,xy,xz,xy+xz).

One use of triclinic simulation boxes is to model solid-state crystals with triclinic symmetry. The lattice command can be used with non-orthogonal basis vectors to define a lattice that will tile a triclinic simulation box via the create_atoms command.

A second use is to run Parinello-Rahman dyanamics via the fix npt command, which will adjust the xy, xz, yz tilt factors to compensate for off-diagonal components of the pressure tensor. The analalog for an energy minimization is the fix box/relax command.

A third use is to shear a bulk solid to study the response of the material. The fix deform command can be used for this purpose. It allows dynamic control of the xy, xz, yz tilt factors as a simulation runs. This is discussed in the next section on non-equilibrium MD (NEMD) simulations.


6.13. NEMD simulations

Non-equilibrium molecular dynamics or NEMD simulations are typically used to measure a fluid’s rheological properties such as viscosity. In LAMMPS, such simulations can be performed by first setting up a non-orthogonal simulation box (see the preceding Howto section).

A shear strain can be applied to the simulation box at a desired strain rate by using the fix deform command. The fix nvt/sllod command can be used to thermostat the sheared fluid and integrate the SLLOD equations of motion for the system. Fix nvt/sllod uses compute temp/deform to compute a thermal temperature by subtracting out the streaming velocity of the shearing atoms. The velocity profile or other properties of the fluid can be monitored via the fix ave/spatial command.

As discussed in the previous section on non-orthogonal simulation boxes, the amount of tilt or skew that can be applied is limited by LAMMPS for computational efficiency to be 1/2 of the parallel box length. However, fix deform can continuously strain a box by an arbitrary amount. As discussed in the fix deform command, when the tilt value reaches a limit, the box is flipped to the opposite limit which is an equivalent tiling of periodic space. The strain rate can then continue to change as before. In a long NEMD simulation these box re-shaping events may occur many times.

In a NEMD simulation, the “remap” option of fix deform should be set to “remap v”, since that is what fix nvt/sllod assumes to generate a velocity profile consistent with the applied shear strain rate.

An alternative method for calculating viscosities is provided via the fix viscosity command.


6.14. Finite-size spherical and aspherical particles

Typical MD models treat atoms or particles as point masses. Sometimes it is desirable to have a model with finite-size particles such as spheroids or ellipsoids or generalized aspherical bodies. The difference is that such particles have a moment of inertia, rotational energy, and angular momentum. Rotation is induced by torque coming from interactions with other particles.

LAMMPS has several options for running simulations with these kinds of particles. The following aspects are discussed in turn:

  • atom styles
  • pair potentials
  • time integration
  • computes, thermodynamics, and dump output
  • rigid bodies composed of finite-size particles

Example input scripts for these kinds of models are in the body, colloid, dipole, ellipse, line, peri, pour, and tri directories of the examples directory in the LAMMPS distribution.

6.14.1. Atom styles

There are several atom styles that allow for definition of finite-size particles: sphere, dipole, ellipsoid, line, tri, peri, and body.

The sphere style defines particles that are spheriods and each particle can have a unique diameter and mass (or density). These particles store an angular velocity (omega) and can be acted upon by torque. The “set” command can be used to modify the diameter and mass of individual particles, after then are created.

The dipole style does not actually define finite-size particles, but is often used in conjunction with spherical particles, via a command like

atom_style hybrid sphere dipole

This is because when dipoles interact with each other, they induce torques, and a particle must be finite-size (i.e. have a moment of inertia) in order to respond and rotate. See the atom_style dipole command for details. The “set” command can be used to modify the orientation and length of the dipole moment of individual particles, after then are created.

The ellipsoid style defines particles that are ellipsoids and thus can be aspherical. Each particle has a shape, specified by 3 diameters, and mass (or density). These particles store an angular momentum and their orientation (quaternion), and can be acted upon by torque. They do not store an angular velocity (omega), which can be in a different direction than angular momentum, rather they compute it as needed. The “set” command can be used to modify the diameter, orientation, and mass of individual particles, after then are created. It also has a brief explanation of what quaternions are.

The line style defines line segment particles with two end points and a mass (or density). They can be used in 2d simulations, and they can be joined together to form rigid bodies which represent arbitrary polygons.

The tri style defines triangular particles with three corner points and a mass (or density). They can be used in 3d simulations, and they can be joined together to form rigid bodies which represent arbitrary particles with a triangulated surface.

The peri style is used with Peridynamic models and defines particles as having a volume, that is used internally in the pair_style peri potentials.

The body style allows for definition of particles which can represent complex entities, such as surface meshes of discrete points, collections of sub-particles, deformable objects, etc. The body style is discussed in more detail on the body doc page.

Note that if one of these atom styles is used (or multiple styles via the atom_style hybrid command), not all particles in the system are required to be finite-size or aspherical.

For example, in the ellipsoid style, if the 3 shape parameters are set to the same value, the particle will be a sphere rather than an ellipsoid. If the 3 shape parameters are all set to 0.0 or if the diameter is set to 0.0, it will be a point particle. In the line or tri style, if the lineflag or triflag is specified as 0, then it will be a point particle.

Some of the pair styles used to compute pairwise interactions between finite-size particles also compute the correct interaction with point particles as well, e.g. the interaction between a point particle and a finite-size particle or between two point particles. If necessary, pair_style hybrid can be used to insure the correct interactions are computed for the appropriate style of interactions. Likewise, using groups to partition particles (ellipsoids versus spheres versus point particles) will allow you to use the appropriate time integrators and temperature computations for each class of particles. See the doc pages for various commands for details.

Also note that for 2d simulations, atom styles sphere and ellipsoid still use 3d particles, rather than as circular disks or ellipses. This means they have the same moment of inertia as the 3d object. When temperature is computed, the correct degrees of freedom are used for rotation in a 2d versus 3d system.

6.14.2. Pair potentials

When a system with finite-size particles is defined, the particles will only rotate and experience torque if the force field computes such interactions. These are the various pair styles that generate torque:

The granular pair styles are used with spherical particles. The dipole pair style is used with the dipole atom style, which could be applied to spherical or ellipsoidal particles. The GayBerne and REsquared potentials require ellipsoidal particles, though they will also work if the 3 shape parameters are the same (a sphere). The Brownian and lubrication potentials are used with spherical particles. The line, tri, and body potentials are used with line segment, triangular, and body particles respectively.

6.14.3. Time integration

There are several fixes that perform time integration on finite-size spherical particles, meaning the integrators update the rotational orientation and angular velocity or angular momentum of the particles:

Likewise, there are 3 fixes that perform time integration on ellipsoidal particles:

The advantage of these fixes is that those which thermostat the particles include the rotational degrees of freedom in the temperature calculation and thermostatting. The fix langevin command can also be used with its omgea or angmom options to thermostat the rotational degrees of freedom for spherical or ellipsoidal particles. Other thermostatting fixes only operate on the translational kinetic energy of finite-size particles.

These fixes perform constant NVE time integration on line segment, triangular, and body particles:

Note that for mixtures of point and finite-size particles, these integration fixes can only be used with groups which contain finite-size particles.

6.14.4. Computes, thermodynamics, and dump output

There are several computes that calculate the temperature or rotational energy of spherical or ellipsoidal particles:

These include rotational degrees of freedom in their computation. If you wish the thermodynamic output of temperature or pressure to use one of these computes (e.g. for a system entirely composed of finite-size particles), then the compute can be defined and the thermo_modify command used. Note that by default thermodynamic quantities will be calculated with a temperature that only includes translational degrees of freedom. See the thermo_style command for details.

These commands can be used to output various attributes of finite-size particles:

Attributes include the dipole moment, the angular velocity, the angular momentum, the quaternion, the torque, the end-point and corner-point coordinates (for line and tri particles), and sub-particle attributes of body particles.

6.14.5. Rigid bodies composed of finite-size particles

The fix rigid command treats a collection of particles as a rigid body, computes its inertia tensor, sums the total force and torque on the rigid body each timestep due to forces on its constituent particles, and integrates the motion of the rigid body.

If any of the constituent particles of a rigid body are finite-size particles (spheres or ellipsoids or line segments or triangles), then their contribution to the inertia tensor of the body is different than if they were point particles. This means the rotational dynamics of the rigid body will be different. Thus a model of a dimer is different if the dimer consists of two point masses versus two spheroids, even if the two particles have the same mass. Finite-size particles that experience torque due to their interaction with other particles will also impart that torque to a rigid body they are part of.

See the “fix rigid” command for example of complex rigid-body models it is possible to define in LAMMPS.

Note that the fix shake command can also be used to treat 2, 3, or 4 particles as a rigid body, but it always assumes the particles are point masses.

Also note that body particles cannot be modeled with the fix rigid command. Body particles are treated by LAMMPS as single particles, though they can store internal state, such as a list of sub-particles. Individual body partices are typically treated as rigid bodies, and their motion integrated with a command like fix nve/body. Interactions between pairs of body particles are computed via a command like pair_style body.


6.15. Output from LAMMPS (thermo, dumps, computes, fixes, variables)

There are four basic kinds of LAMMPS output:

  • Thermodynamic output, which is a list of quantities printed every few timesteps to the screen and logfile.
  • Dump files, which contain snapshots of atoms and various per-atom values and are written at a specified frequency.
  • Certain fixes can output user-specified quantities to files: fix ave/time for time averaging, fix ave/chunk for spatial or other averaging, and fix print for single-line output of variables. Fix print can also output to the screen.
  • Restart files.

A simulation prints one set of thermodynamic output and (optionally) restart files. It can generate any number of dump files and fix output files, depending on what dump and fix commands you specify.

As discussed below, LAMMPS gives you a variety of ways to determine what quantities are computed and printed when the thermodynamics, dump, or fix commands listed above perform output. Throughout this discussion, note that users can also add their own computes and fixes to LAMMPS which can then generate values that can then be output with these commands.

The following sub-sections discuss different LAMMPS command related to output and the kind of data they operate on and produce:

6.15.1. Global/per-atom/local data

Various output-related commands work with three different styles of data: global, per-atom, or local. A global datum is one or more system-wide values, e.g. the temperature of the system. A per-atom datum is one or more values per atom, e.g. the kinetic energy of each atom. Local datums are calculated by each processor based on the atoms it owns, but there may be zero or more per atom, e.g. a list of bond distances.

6.15.2. Scalar/vector/array data

Global, per-atom, and local datums can each come in three kinds: a single scalar value, a vector of values, or a 2d array of values. The doc page for a “compute” or “fix” or “variable” that generates data will specify both the style and kind of data it produces, e.g. a per-atom vector.

When a quantity is accessed, as in many of the output commands discussed below, it can be referenced via the following bracket notation, where ID in this case is the ID of a compute. The leading “c_” would be replaced by “f_” for a fix, or “v_” for a variable:

c_ID entire scalar, vector, or array
c_ID[I] one element of vector, one column of array
c_ID[I][J] one element of array

In other words, using one bracket reduces the dimension of the data once (vector -> scalar, array -> vector). Using two brackets reduces the dimension twice (array -> scalar). Thus a command that uses scalar values as input can typically also process elements of a vector or array.

6.15.3. Thermodynamic output

The frequency and format of thermodynamic output is set by the thermo, thermo_style, and thermo_modify commands. The thermo_style command also specifies what values are calculated and written out. Pre-defined keywords can be specified (e.g. press, etotal, etc). Three additional kinds of keywords can also be specified (c_ID, f_ID, v_name), where a compute or fix or variable provides the value to be output. In each case, the compute, fix, or variable must generate global values for input to the thermo_style custom command.

Note that thermodynamic output values can be “extensive” or “intensive”. The former scale with the number of atoms in the system (e.g. total energy), the latter do not (e.g. temperature). The setting for thermo_modify norm determines whether extensive quantities are normalized or not. Computes and fixes produce either extensive or intensive values; see their individual doc pages for details. Equal-style variables produce only intensive values; you can include a division by “natoms” in the formula if desired, to make an extensive calculation produce an intensive result.

6.15.4. Dump file output

Dump file output is specified by the dump and dump_modify commands. There are several pre-defined formats (dump atom, dump xtc, etc).

There is also a dump custom format where the user specifies what values are output with each atom. Pre-defined atom attributes can be specified (id, x, fx, etc). Three additional kinds of keywords can also be specified (c_ID, f_ID, v_name), where a compute or fix or variable provides the values to be output. In each case, the compute, fix, or variable must generate per-atom values for input to the dump custom command.

There is also a dump local format where the user specifies what local values to output. A pre-defined index keyword can be specified to enumuerate the local values. Two additional kinds of keywords can also be specified (c_ID, f_ID), where a compute or fix or variable provides the values to be output. In each case, the compute or fix must generate local values for input to the dump local command.

6.15.5. Fixes that write output files

Several fixes take various quantities as input and can write output files: fix ave/time, fix ave/chunk, fix ave/histo, fix ave/correlate, and fix print.

The fix ave/time command enables direct output to a file and/or time-averaging of global scalars or vectors. The user specifies one or more quantities as input. These can be global compute values, global fix values, or variables of any style except the atom style which produces per-atom values. Since a variable can refer to keywords used by the thermo_style custom command (like temp or press) and individual per-atom values, a wide variety of quantities can be time averaged and/or output in this way. If the inputs are one or more scalar values, then the fix generate a global scalar or vector of output. If the inputs are one or more vector values, then the fix generates a global vector or array of output. The time-averaged output of this fix can also be used as input to other output commands.

The fix ave/chunk command enables direct output to a file of chunk-averaged per-atom quantities like those output in dump files. Chunks can represent spatial bins or other collections of atoms, e.g. individual molecules. The per-atom quantities can be atom density (mass or number) or atom attributes such as position, velocity, force. They can also be per-atom quantities calculated by a compute, by a fix, or by an atom-style variable. The chunk-averaged output of this fix can also be used as input to other output commands.

The fix ave/histo command enables direct output to a file of histogrammed quantities, which can be global or per-atom or local quantities. The histogram output of this fix can also be used as input to other output commands.

The fix ave/correlate command enables direct output to a file of time-correlated quantities, which can be global values. The correlation matrix output of this fix can also be used as input to other output commands.

The fix print command can generate a line of output written to the screen and log file or to a separate file, periodically during a running simulation. The line can contain one or more variable values for any style variable except the vector or atom styles). As explained above, variables themselves can contain references to global values generated by thermodynamic keywords, computes, fixes, or other variables, or to per-atom values for a specific atom. Thus the fix print command is a means to output a wide variety of quantities separate from normal thermodynamic or dump file output.

6.15.6. Computes that process output quantities

The compute reduce and compute reduce/region commands take one or more per-atom or local vector quantities as inputs and “reduce” them (sum, min, max, ave) to scalar quantities. These are produced as output values which can be used as input to other output commands.

The compute slice command take one or more global vector or array quantities as inputs and extracts a subset of their values to create a new vector or array. These are produced as output values which can be used as input to other output commands.

The compute property/atom command takes a list of one or more pre-defined atom attributes (id, x, fx, etc) and stores the values in a per-atom vector or array. These are produced as output values which can be used as input to other output commands. The list of atom attributes is the same as for the dump custom command.

The compute property/local command takes a list of one or more pre-defined local attributes (bond info, angle info, etc) and stores the values in a local vector or array. These are produced as output values which can be used as input to other output commands.

6.15.7. Fixes that process output quantities

The fix vector command can create global vectors as output from global scalars as input, accumulating them one element at a time.

The fix ave/atom command performs time-averaging of per-atom vectors. The per-atom quantities can be atom attributes such as position, velocity, force. They can also be per-atom quantities calculated by a compute, by a fix, or by an atom-style variable. The time-averaged per-atom output of this fix can be used as input to other output commands.

The fix store/state command can archive one or more per-atom attributes at a particular time, so that the old values can be used in a future calculation or output. The list of atom attributes is the same as for the dump custom command, including per-atom quantities calculated by a compute, by a fix, or by an atom-style variable. The output of this fix can be used as input to other output commands.

6.15.8. Computes that generate values to output

Every compute in LAMMPS produces either global or per-atom or local values. The values can be scalars or vectors or arrays of data. These values can be output using the other commands described in this section. The doc page for each compute command describes what it produces. Computes that produce per-atom or local values have the word “atom” or “local” in their style name. Computes without the word “atom” or “local” produce global values.

6.15.9. Fixes that generate values to output

Some fixes in LAMMPS produces either global or per-atom or local values which can be accessed by other commands. The values can be scalars or vectors or arrays of data. These values can be output using the other commands described in this section. The doc page for each fix command tells whether it produces any output quantities and describes them.

6.15.10. Variables that generate values to output

Variables defined in an input script can store one or more strings. But equal-style, vector-style, and atom-style or atomfile-style variables generate a global scalar value, global vector or values, or a per-atom vector, resepctively, when accessed. The formulas used to define these variables can contain references to the thermodynamic keywords and to global and per-atom data generated by computes, fixes, and other variables. The values generated by variables can be used as input to and thus output by the other commands described in this section.

6.15.11. Summary table of output options and data flow between commands

This table summarizes the various commands that can be used for generating output from LAMMPS. Each command produces output data of some kind and/or writes data to a file. Most of the commands can take data from other commands as input. Thus you can link many of these commands together in pipeline form, where data produced by one command is used as input to another command and eventually written to the screen or to a file. Note that to hook two commands together the output and input data types must match, e.g. global/per-atom/local data and scalar/vector/array data.

Also note that, as described above, when a command takes a scalar as input, that could be an element of a vector or array. Likewise a vector input could be a column of an array.

Command Input Output
thermo_style custom global scalars screen, log file
dump custom per-atom vectors dump file
dump local local vectors dump file
fix print global scalar from variable screen, file
print global scalar from variable screen
computes N/A global/per-atom/local scalar/vector/array
fixes N/A global/per-atom/local scalar/vector/array
variables global scalars and vectors, per-atom vectors global scalar and vector, per-atom vector
compute reduce per-atom/local vectors global scalar/vector
compute slice global vectors/arrays global vector/array
compute property/atom per-atom vectors per-atom vector/array
compute property/local local vectors local vector/array
fix vector global scalars global vector
fix ave/atom per-atom vectors per-atom vector/array
fix ave/time global scalars/vectors global scalar/vector/array, file
fix ave/chunk per-atom vectors global array, file
fix ave/histo global/per-atom/local scalars and vectors global array, file
fix ave/correlate global scalars global array, file
fix store/state per-atom vectors per-atom vector/array

6.16. Thermostatting, barostatting, and computing temperature

Thermostatting means controlling the temperature of particles in an MD simulation. Barostatting means controlling the pressure. Since the pressure includes a kinetic component due to particle velocities, both these operations require calculation of the temperature. Typically a target temperature (T) and/or pressure (P) is specified by the user, and the thermostat or barostat attempts to equilibrate the system to the requested T and/or P.

Temperature is computed as kinetic energy divided by some number of degrees of freedom (and the Boltzmann constant). Since kinetic energy is a function of particle velocity, there is often a need to distinguish between a particle’s advection velocity (due to some aggregate motiion of particles) and its thermal velocity. The sum of the two is the particle’s total velocity, but the latter is often what is wanted to compute a temperature.

LAMMPS has several options for computing temperatures, any of which can be used in thermostatting and barostatting. These compute commands calculate temperature, and the compute pressure command calculates pressure.

All but the first 3 calculate velocity biases directly (e.g. advection velocities) that are removed when computing the thermal temperature. Compute temp/sphere and compute temp/asphere compute kinetic energy for finite-size particles that includes rotational degrees of freedom. They both allow for velocity biases indirectly, via an optional extra argument, another temperature compute that subtracts a velocity bias. This allows the translational velocity of spherical or aspherical particles to be adjusted in prescribed ways.

Thermostatting in LAMMPS is performed by fixes, or in one case by a pair style. Several thermostatting fixes are available: Nose-Hoover (nvt), Berendsen, CSVR, Langevin, and direct rescaling (temp/rescale). Dissipative particle dynamics (DPD) thermostatting can be invoked via the dpd/tstat pair style:

Fix nvt only thermostats the translational velocity of particles. Fix nvt/sllod also does this, except that it subtracts out a velocity bias due to a deforming box and integrates the SLLOD equations of motion. See the NEMD simulations section of this page for further details. Fix nvt/sphere and fix nvt/asphere thermostat not only translation velocities but also rotational velocities for spherical and aspherical particles.

DPD thermostatting alters pairwise interactions in a manner analagous to the per-particle thermostatting of fix langevin.

Any of the thermostatting fixes can use temperature computes that remove bias which has two effects. First, the current calculated temperature, which is compared to the requested target temperature, is caluclated with the velocity bias removed. Second, the thermostat adjusts only the thermal temperature component of the particle’s velocities, which are the velocities with the bias removed. The removed bias is then added back to the adjusted velocities. See the doc pages for the individual fixes and for the fix_modify command for instructions on how to assign a temperature compute to a thermostatting fix. For example, you can apply a thermostat to only the x and z components of velocity by using it in conjunction with compute temp/partial. Of you could thermostat only the thermal temperature of a streaming flow of particles without affecting the streaming velocity, by using compute temp/profile.

Note

Only the nvt fixes perform time integration, meaning they update the velocities and positions of particles due to forces and velocities respectively. The other thermostat fixes only adjust velocities; they do NOT perform time integration updates. Thus they should be used in conjunction with a constant NVE integration fix such as these:

Barostatting in LAMMPS is also performed by fixes. Two barosttating methods are currently available: Nose-Hoover (npt and nph) and Berendsen:

The fix npt commands include a Nose-Hoover thermostat and barostat. Fix nph is just a Nose/Hoover barostat; it does no thermostatting. Both fix nph and fix press/bernendsen can be used in conjunction with any of the thermostatting fixes.

As with the thermostats, fix npt and fix nph only use translational motion of the particles in computing T and P and performing thermo/barostatting. Fix npt/sphere and fix npt/asphere thermo/barostat using not only translation velocities but also rotational velocities for spherical and aspherical particles.

All of the barostatting fixes use the compute pressure compute to calculate a current pressure. By default, this compute is created with a simple compute temp (see the last argument of the compute pressure command), which is used to calculated the kinetic componenet of the pressure. The barostatting fixes can also use temperature computes that remove bias for the purpose of computing the kinetic componenet which contributes to the current pressure. See the doc pages for the individual fixes and for the fix_modify command for instructions on how to assign a temperature or pressure compute to a barostatting fix.

Note

As with the thermostats, the Nose/Hoover methods (fix npt and fix nph) perform time integration. Fix press/berendsen does NOT, so it should be used with one of the constant NVE fixes or with one of the NVT fixes.

Finally, thermodynamic output, which can be setup via the thermo_style command, often includes temperature and pressure values. As explained on the doc page for the thermo_style command, the default T and P are setup by the thermo command itself. They are NOT the ones associated with any thermostatting or barostatting fix you have defined or with any compute that calculates a temperature or pressure. Thus if you want to view these values of T and P, you need to specify them explicitly via a thermo_style custom command. Or you can use the thermo_modify command to re-define what temperature or pressure compute is used for default thermodynamic output.


6.17. Walls

Walls in an MD simulation are typically used to bound particle motion, i.e. to serve as a boundary condition.

Walls in LAMMPS can be of rough (made of particles) or idealized surfaces. Ideal walls can be smooth, generating forces only in the normal direction, or frictional, generating forces also in the tangential direction.

Rough walls, built of particles, can be created in various ways. The particles themselves can be generated like any other particle, via the lattice and create_atoms commands, or read in via the read_data command.

Their motion can be constrained by many different commands, so that they do not move at all, move together as a group at constant velocity or in response to a net force acting on them, move in a prescribed fashion (e.g. rotate around a point), etc. Note that if a time integration fix like fix nve or fix nvt is not used with the group that contains wall particles, their positions and velocities will not be updated.

  • fix aveforce - set force on particles to average value, so they move together
  • fix setforce - set force on particles to a value, e.g. 0.0
  • fix freeze - freeze particles for use as granular walls
  • fix nve/noforce - advect particles by their velocity, but without force
  • fix move - prescribe motion of particles by a linear velocity, oscillation, rotation, variable

The fix move command offers the most generality, since the motion of individual particles can be specified with variable formula which depends on time and/or the particle position.

For rough walls, it may be useful to turn off pairwise interactions between wall particles via the neigh_modify exclude command.

Rough walls can also be created by specifying frozen particles that do not move and do not interact with mobile particles, and then tethering other particles to the fixed particles, via a bond. The bonded particles do interact with other mobile particles.

Idealized walls can be specified via several fix commands. Fix wall/gran creates frictional walls for use with granular particles; all the other commands create smooth walls.

The lj93, lj126, colloid, and harmonic styles all allow the flat walls to move with a constant velocity, or oscillate in time. The fix wall/region command offers the most generality, since the region surface is treated as a wall, and the geometry of the region can be a simple primitive volume (e.g. a sphere, or cube, or plane), or a complex volume made from the union and intersection of primitive volumes. Regions can also specify a volume “interior” or “exterior” to the specified primitive shape or union or intersection. Regions can also be “dynamic” meaning they move with constant velocity, oscillate, or rotate.

The only frictional idealized walls currently in LAMMPS are flat or curved surfaces specified by the fix wall/gran command. At some point we plan to allow regoin surfaces to be used as frictional walls, as well as triangulated surfaces.


6.18. Elastic constants

Elastic constants characterize the stiffness of a material. The formal definition is provided by the linear relation that holds between the stress and strain tensors in the limit of infinitesimal deformation. In tensor notation, this is expressed as s_ij = C_ijkl * e_kl, where the repeated indices imply summation. s_ij are the elements of the symmetric stress tensor. e_kl are the elements of the symmetric strain tensor. C_ijkl are the elements of the fourth rank tensor of elastic constants. In three dimensions, this tensor has 3^4=81 elements. Using Voigt notation, the tensor can be written as a 6x6 matrix, where C_ij is now the derivative of s_i w.r.t. e_j. Because s_i is itself a derivative w.r.t. e_i, it follows that C_ij is also symmetric, with at most 7*6/2 = 21 distinct elements.

At zero temperature, it is easy to estimate these derivatives by deforming the simulation box in one of the six directions using the change_box command and measuring the change in the stress tensor. A general-purpose script that does this is given in the examples/elastic directory described in this section.

Calculating elastic constants at finite temperature is more challenging, because it is necessary to run a simulation that perfoms time averages of differential properties. One way to do this is to measure the change in average stress tensor in an NVT simulations when the cell volume undergoes a finite deformation. In order to balance the systematic and statistical errors in this method, the magnitude of the deformation must be chosen judiciously, and care must be taken to fully equilibrate the deformed cell before sampling the stress tensor. Another approach is to sample the triclinic cell fluctuations that occur in an NPT simulation. This method can also be slow to converge and requires careful post-processing (Shinoda)


6.19. Library interface to LAMMPS

As described in Section_start 5, LAMMPS can be built as a library, so that it can be called by another code, used in a coupled manner with other codes, or driven through a Python interface.

All of these methodologies use a C-style interface to LAMMPS that is provided in the files src/library.cpp and src/library.h. The functions therein have a C-style argument list, but contain C++ code you could write yourself in a C++ application that was invoking LAMMPS directly. The C++ code in the functions illustrates how to invoke internal LAMMPS operations. Note that LAMMPS classes are defined within a LAMMPS namespace (LAMMPS_NS) if you use them from another C++ application.

Library.cpp contains these 5 basic functions:

void lammps_open(int, char **, MPI_Comm, void **)
void lammps_close(void *)
int lammps_version(void *)
void lammps_file(void *, char *)
char *lammps_command(void *, char *)

The lammps_open() function is used to initialize LAMMPS, passing in a list of strings as if they were command-line arguments when LAMMPS is run in stand-alone mode from the command line, and a MPI communicator for LAMMPS to run under. It returns a ptr to the LAMMPS object that is created, and which is used in subsequent library calls. The lammps_open() function can be called multiple times, to create multiple instances of LAMMPS.

LAMMPS will run on the set of processors in the communicator. This means the calling code can run LAMMPS on all or a subset of processors. For example, a wrapper script might decide to alternate between LAMMPS and another code, allowing them both to run on all the processors. Or it might allocate half the processors to LAMMPS and half to the other code and run both codes simultaneously before syncing them up periodically. Or it might instantiate multiple instances of LAMMPS to perform different calculations.

The lammps_close() function is used to shut down an instance of LAMMPS and free all its memory.

The lammps_version() function can be used to determined the specific version of the underlying LAMMPS code. This is particularly useful when loading LAMMPS as a shared library via dlopen(). The code using the library interface can than use this information to adapt to changes to the LAMMPS command syntax between versions. The returned LAMMPS version code is an integer (e.g. 2 Sep 2015 results in 20150902) that grows with every new LAMMPS version.

The lammps_file() and lammps_command() functions are used to pass a file or string to LAMMPS as if it were an input script or single command in an input script. Thus the calling code can read or generate a series of LAMMPS commands one line at a time and pass it thru the library interface to setup a problem and then run it, interleaving the lammps_command() calls with other calls to extract information from LAMMPS, perform its own operations, or call another code’s library.

Other useful functions are also included in library.cpp. For example:

void *lammps_extract_global(void *, char *)
void *lammps_extract_atom(void *, char *)
void *lammps_extract_compute(void *, char *, int, int)
void *lammps_extract_fix(void *, char *, int, int, int, int)
void *lammps_extract_variable(void *, char *, char *)
int lammps_set_variable(void *, char *, char *)
int lammps_get_natoms(void *)
void lammps_get_coords(void *, double *)
void lammps_put_coords(void *, double *)

These can extract various global or per-atom quantities from LAMMPS as well as values calculated by a compute, fix, or variable. The “set_variable” function can set an existing string-style variable to a new value, so that subsequent LAMMPS commands can access the variable. The “get” and “put” operations can retrieve and reset atom coordinates. See the library.cpp file and its associated header file library.h for details.

The key idea of the library interface is that you can write any functions you wish to define how your code talks to LAMMPS and add them to src/library.cpp and src/library.h, as well as to the Python interface. The routines you add can access or change any LAMMPS data you wish. The examples/COUPLE and python directories have example C++ and C and Python codes which show how a driver code can link to LAMMPS as a library, run LAMMPS on a subset of processors, grab data from LAMMPS, change it, and put it back into LAMMPS.


6.20. Calculating thermal conductivity

The thermal conductivity kappa of a material can be measured in at least 4 ways using various options in LAMMPS. See the examples/KAPPA directory for scripts that implement the 4 methods discussed here for a simple Lennard-Jones fluid model. Also, see this section of the manual for an analogous discussion for viscosity.

The thermal conducitivity tensor kappa is a measure of the propensity of a material to transmit heat energy in a diffusive manner as given by Fourier’s law

J = -kappa grad(T)

where J is the heat flux in units of energy per area per time and grad(T) is the spatial gradient of temperature. The thermal conductivity thus has units of energy per distance per time per degree K and is often approximated as an isotropic quantity, i.e. as a scalar.

The first method is to setup two thermostatted regions at opposite ends of a simulation box, or one in the middle and one at the end of a periodic box. By holding the two regions at different temperatures with a thermostatting fix, the energy added to the hot region should equal the energy subtracted from the cold region and be proportional to the heat flux moving between the regions. See the paper by Ikeshoji and Hafskjold for details of this idea. Note that thermostatting fixes such as fix nvt, fix langevin, and fix temp/rescale store the cumulative energy they add/subtract.

Alternatively, as a second method, the fix heat command can used in place of thermostats on each of two regions to add/subtract specified amounts of energy to both regions. In both cases, the resulting temperatures of the two regions can be monitored with the “compute temp/region” command and the temperature profile of the intermediate region can be monitored with the fix ave/spatial and compute ke/atom commands.

The third method is to perform a reverse non-equilibrium MD simulation using the fix thermal/conductivity command which implements the rNEMD algorithm of Muller-Plathe. Kinetic energy is swapped between atoms in two different layers of the simulation box. This induces a temperature gradient between the two layers which can be monitored with the fix ave/spatial and compute ke/atom commands. The fix tallies the cumulative energy transfer that it performs. See the fix thermal/conductivity command for details.

The fourth method is based on the Green-Kubo (GK) formula which relates the ensemble average of the auto-correlation of the heat flux to kappa. The heat flux can be calculated from the fluctuations of per-atom potential and kinetic energies and per-atom stress tensor in a steady-state equilibrated simulation. This is in contrast to the two preceding non-equilibrium methods, where energy flows continuously between hot and cold regions of the simulation box.

The compute heat/flux command can calculate the needed heat flux and describes how to implement the Green_Kubo formalism using additional LAMMPS commands, such as the fix ave/correlate command to calculate the needed auto-correlation. See the doc page for the compute heat/flux command for an example input script that calculates the thermal conductivity of solid Ar via the GK formalism.


6.21. Calculating viscosity

The shear viscosity eta of a fluid can be measured in at least 5 ways using various options in LAMMPS. See the examples/VISCOSITY directory for scripts that implement the 5 methods discussed here for a simple Lennard-Jones fluid model. Also, see this section of the manual for an analogous discussion for thermal conductivity.

Eta is a measure of the propensity of a fluid to transmit momentum in a direction perpendicular to the direction of velocity or momentum flow. Alternatively it is the resistance the fluid has to being sheared. It is given by

J = -eta grad(Vstream)

where J is the momentum flux in units of momentum per area per time. and grad(Vstream) is the spatial gradient of the velocity of the fluid moving in another direction, normal to the area through which the momentum flows. Viscosity thus has units of pressure-time.

The first method is to perform a non-equlibrium MD (NEMD) simulation by shearing the simulation box via the fix deform command, and using the fix nvt/sllod command to thermostat the fluid via the SLLOD equations of motion. Alternatively, as a second method, one or more moving walls can be used to shear the fluid in between them, again with some kind of thermostat that modifies only the thermal (non-shearing) components of velocity to prevent the fluid from heating up.

In both cases, the velocity profile setup in the fluid by this procedure can be monitored by the fix ave/spatial command, which determines grad(Vstream) in the equation above. E.g. the derivative in the y-direction of the Vx component of fluid motion or grad(Vstream) = dVx/dy. The Pxy off-diagonal component of the pressure or stress tensor, as calculated by the compute pressure command, can also be monitored, which is the J term in the equation above. See this section of the manual for details on NEMD simulations.

The third method is to perform a reverse non-equilibrium MD simulation using the fix viscosity command which implements the rNEMD algorithm of Muller-Plathe. Momentum in one dimension is swapped between atoms in two different layers of the simulation box in a different dimension. This induces a velocity gradient which can be monitored with the fix ave/spatial command. The fix tallies the cummulative momentum transfer that it performs. See the fix viscosity command for details.

The fourth method is based on the Green-Kubo (GK) formula which relates the ensemble average of the auto-correlation of the stress/pressure tensor to eta. This can be done in a fully equilibrated simulation which is in contrast to the two preceding non-equilibrium methods, where momentum flows continuously through the simulation box.

Here is an example input script that calculates the viscosity of liquid Ar via the GK formalism:

# Sample LAMMPS input script for viscosity of liquid Ar
units       real
variable    T equal 86.4956
variable    V equal vol
variable    dt equal 4.0
variable    p equal 400     # correlation length
variable    s equal 5       # sample interval
variable    d equal $p*$s   # dump interval
# convert from LAMMPS real units to SI
variable    kB equal 1.3806504e-23    # [J/K/** Boltzmann
variable    atm2Pa equal 101325.0
variable    A2m equal 1.0e-10
variable    fs2s equal 1.0e-15
variable    convert equal ${atm2Pa}*${atm2Pa}*${fs2s}*${A2m}*${A2m}*${A2m}
# setup problem
dimension    3
boundary     p p p
lattice      fcc 5.376 orient x 1 0 0 orient y 0 1 0 orient z 0 0 1
region       box block 0 4 0 4 0 4
create_box   1 box
create_atoms 1 box
mass      1 39.948
pair_style   lj/cut 13.0
pair_coeff   * * 0.2381 3.405
timestep     ${dt}
thermo            $d
# equilibration and thermalization
velocity     all create $T 102486 mom yes rot yes dist gaussian
fix          NVT all nvt temp $T $T 10 drag 0.2
run          8000
# viscosity calculation, switch to NVE if desired
#unfix       NVT
#fix         NVE all nve
reset_timestep 0
variable     pxy equal pxy
variable     pxz equal pxz
variable     pyz equal pyz
fix          SS all ave/correlate $s $p $d &
             v_pxy v_pxz v_pyz type auto file S0St.dat ave running
variable     scale equal ${convert}/(${kB}*$T)*$V*$s*${dt}
variable     v11 equal trap(f_SS[3])*${scale}
variable     v22 equal trap(f_SS[4])*${scale}
variable     v33 equal trap(f_SS[5])*${scale}
thermo_style custom step temp press v_pxy v_pxz v_pyz v_v11 v_v22 v_v33
run          100000
variable     v equal (v_v11+v_v22+v_v33)/3.0
variable     ndens equal count(all)/vol
print        "average viscosity: $v [Pa.s/** @ $T K, ${ndens} /A^3"

The fifth method is related to the above Green-Kubo method, but uses the Einstein formulation, analogous to the Einstein mean-square-displacement formulation for self-diffusivity. The time-integrated momentum fluxes play the role of Cartesian coordinates, whose mean-square displacement increases linearly with time at sufficiently long times.


6.22. Calculating a diffusion coefficient

The diffusion coefficient D of a material can be measured in at least 2 ways using various options in LAMMPS. See the examples/DIFFUSE directory for scripts that implement the 2 methods discussed here for a simple Lennard-Jones fluid model.

The first method is to measure the mean-squared displacement (MSD) of the system, via the compute msd command. The slope of the MSD versus time is proportional to the diffusion coefficient. The instantaneous MSD values can be accumulated in a vector via the fix vector command, and a line fit to the vector to compute its slope via the variable slope function, and thus extract D.

The second method is to measure the velocity auto-correlation function (VACF) of the system, via the compute vacf command. The time-integral of the VACF is proportional to the diffusion coefficient. The instantaneous VACF values can be accumulated in a vector via the fix vector command, and time integrated via the variable trap function, and thus extract D.


6.23. Using chunks to calculate system properties

In LAMMS, “chunks” are collections of atoms, as defined by the compute chunk/atom command, which assigns each atom to a chunk ID (or to no chunk at all). The number of chunks and the assignment of chunk IDs to atoms can be static or change over time. Examples of “chunks” are molecules or spatial bins or atoms with similar values (e.g. coordination number or potential energy).

The per-atom chunk IDs can be used as input to two other kinds of commands, to calculate various properties of a system:

Here, each of the 3 kinds of chunk-related commands is briefly overviewed. Then some examples are given of how to compute different properties with chunk commands.

6.23.1. Compute chunk/atom command:

This compute can assign atoms to chunks of various styles. Only atoms in the specified group and optional specified region are assigned to a chunk. Here are some possible chunk definitions:

atoms in same molecule chunk ID = molecule ID
atoms of same atom type chunk ID = atom type
all atoms with same atom property (charge, radius, etc) chunk ID = output of compute property/atom
atoms in same cluster chunk ID = output of compute cluster/atom command
atoms in same spatial bin chunk ID = bin ID
atoms in same rigid body chunk ID = molecule ID used to define rigid bodies
atoms with similar potential energy chunk ID = output of compute pe/atom
atoms with same local defect structure chunk ID = output of compute centro/atom or compute coord/atom command

Note that chunk IDs are integer values, so for atom properties or computes that produce a floating point value, they will be truncated to an integer. You could also use the compute in a variable that scales the floating point value to spread it across multiple intergers.

Spatial bins can be of various kinds, e.g. 1d bins = slabs, 2d bins = pencils, 3d bins = boxes, spherical bins, cylindrical bins.

This compute also calculates the number of chunks Nchunk, which is used by other commands to tally per-chunk data. Nchunk can be a static value or change over time (e.g. the number of clusters). The chunk ID for an individual atom can also be static (e.g. a molecule ID), or dynamic (e.g. what spatial bin an atom is in as it moves).

Note that this compute allows the per-atom output of other computes, fixes, and variables to be used to define chunk IDs for each atom. This means you can write your own compute or fix to output a per-atom quantity to use as chunk ID. See Section_modify of the documentation for how to do this. You can also define a per-atom variable in the input script that uses a formula to generate a chunk ID for each atom.

6.23.2. Fix ave/chunk command:

This fix takes the ID of a compute chunk/atom command as input. For each chunk, it then sums one or more specified per-atom values over the atoms in each chunk. The per-atom values can be any atom property, such as velocity, force, charge, potential energy, kinetic energy, stress, etc. Additional keywords are defined for per-chunk properties like density and temperature. More generally any per-atom value generated by other computes, fixes, and per-atom variables, can be summed over atoms in each chunk.

Similar to other averaging fixes, this fix allows the summed per-chunk values to be time-averaged in various ways, and output to a file. The fix produces a global array as output with one row of values per chunk.

6.23.3. Compute */chunk commands:

Currently the following computes operate on chunks of atoms to produce per-chunk values.

They each take the ID of a compute chunk/atom command as input. As their names indicate, they calculate the center-of-mass, radius of gyration, moments of inertia, mean-squared displacement, temperature, torque, and velocity of center-of-mass for each chunk of atoms. The compute property/chunk command can tally the count of atoms in each chunk and extract other per-chunk properties.

The reason these various calculations are not part of the fix ave/chunk command, is that each requires a more complicated operation than simply summing and averaging over per-atom values in each chunk. For example, many of them require calculation of a center of mass, which requires summing mass*position over the atoms and then dividing by summed mass.

All of these computes produce a global vector or global array as output, wih one or more values per chunk. They can be used in various ways:

  • As input to the fix ave/time command, which can write the values to a file and optionally time average them.
  • As input to the fix ave/histo command to histogram values across chunks. E.g. a histogram of cluster sizes or molecule diffusion rates.
  • As input to special functions of equal-style variables, like sum() and max(). E.g. to find the largest cluster or fastest diffusing molecule.

6.23.4. Example calculations with chunks

Here are eaxmples using chunk commands to calculate various properties:

  1. Average velocity in each of 1000 2d spatial bins:
compute cc1 all chunk/atom bin/2d x 0.0 0.1 y lower 0.01 units reduced
fix 1 all ave/chunk 100 10 1000 cc1 vx vy file tmp.out

(2) Temperature in each spatial bin, after subtracting a flow velocity:

compute cc1 all chunk/atom bin/2d x 0.0 0.1 y lower 0.1 units reduced
compute vbias all temp/profile 1 0 0 y 10
fix 1 all ave/chunk 100 10 1000 cc1 temp bias vbias file tmp.out
  1. Center of mass of each molecule:
compute cc1 all chunk/atom molecule
compute myChunk all com/chunk cc1
fix 1 all ave/time 100 1 100 c_myChunk file tmp.out mode vector
  1. Total force on each molecule and ave/max across all molecules:
compute cc1 all chunk/atom molecule
fix 1 all ave/chunk 1000 1 1000 cc1 fx fy fz file tmp.out
variable xave equal ave(f_12)
variable xmax equal max(f_12)
thermo 1000
thermo_style custom step temp v_xave v_xmax
  1. Histogram of cluster sizes:
compute cluster all cluster/atom 1.0
compute cc1 all chunk/atom c_cluster compress yes
compute size all property/chunk cc1 count
fix 1 all ave/histo 100 1 100 0 20 20 c_size mode vector ave running beyond ignore file tmp.histo

6.24. Setting parameters for the kspace_style pppm/disp command

The PPPM method computes interactions by splitting the pair potential into two parts, one of which is computed in a normal pairwise fashion, the so-called real-space part, and one of which is computed using the Fourier transform, the so called reciprocal-space or kspace part. For both parts, the potential is not computed exactly but is approximated. Thus, there is an error in both parts of the computation, the real-space and the kspace error. The just mentioned facts are true both for the PPPM for Coulomb as well as dispersion interactions. The deciding difference - and also the reason why the parameters for pppm/disp have to be selected with more care - is the impact of the errors on the results: The kspace error of the PPPM for Coulomb and dispersion interaction and the real-space error of the PPPM for Coulomb interaction have the character of noise. In contrast, the real-space error of the PPPM for dispersion has a clear physical interpretation: the underprediction of cohesion. As a consequence, the real-space error has a much stronger effect than the kspace error on simulation results for pppm/disp. Parameters must thus be chosen in a way that this error is much smaller than the kspace error.

When using pppm/disp and not making any specifications on the PPPM parameters via the kspace modify command, parameters will be tuned such that the real-space error and the kspace error are equal. This will result in simulations that are either inaccurate or slow, both of which is not desirable. For selecting parameters for the pppm/disp that provide fast and accurate simulations, there are two approaches, which both have their up- and downsides.

The first approach is to set desired real-space an kspace accuracies via the kspace_modify force/disp/real and kspace_modify force/disp/kspace commands. Note that the accuracies have to be specified in force units and are thus dependend on the chosen unit settings. For real units, 0.0001 and 0.002 seem to provide reasonable accurate and efficient computations for the real-space and kspace accuracies. 0.002 and 0.05 work well for most systems using lj units. PPPM parameters will be generated based on the desired accuracies. The upside of this approach is that it usually provides a good set of parameters and will work for both the kspace_modify diff ad and kspace_modify diff ik options. The downside of the method is that setting the PPPM parameters will take some time during the initialization of the simulation.

The second approach is to set the parameters for the pppm/disp explicitly using the kspace_modify mesh/disp, kspace_modify order/disp, and kspace_modify gewald/disp commands. This approach requires a more experienced user who understands well the impact of the choice of parameters on the simulation accuracy and performance. This approach provides a fast initialization of the simulation. However, it is sensitive to errors: A combination of parameters that will perform well for one system might result in far-from-optimal conditions for other simulations. For example, parametes that provide accurate and fast computations for all-atomistic force fields can provide insufficient accuracy or united-atomistic force fields (which is related to that the latter typically have larger dispersion coefficients).

To avoid inaccurate or inefficient simulations, the pppm/disp stops simulations with an error message if no action is taken to control the PPPM parameters. If the automatic parameter generation is desired and real-space and kspace accuracies are desired to be equal, this error message can be suppressed using the kspace_modify disp/auto yes command.

A reasonable approach that combines the upsides of both methods is to make the first run using the kspace_modify force/disp/real and kspace_modify force/disp/kspace commands, write down the PPPM parameters from the outut, and specify these parameters using the second approach in subsequent runs (which have the same composition, force field, and approximately the same volume).

Concerning the performance of the pppm/disp there are two more things to consider. The first is that when using the pppm/disp, the cutoff parameter does no longer affect the accuracy of the simulation (subject to that gewald/disp is adjusted when changing the cutoff). The performance can thus be increased by examining different values for the cutoff parameter. A lower bound for the cutoff is only set by the truncation error of the repulsive term of pair potentials.

The second is that the mixing rule of the pair style has an impact on the computation time when using the pppm/disp. Fastest computations are achieved when using the geometric mixing rule. Using the arithmetic mixing rule substantially increases the computational cost. The computational overhead can be reduced using the kspace_modify mix/disp geom and kspace_modify splittol commands. The first command simply enforces geometric mixing of the dispersion coeffiecients in kspace computations. This introduces some error in the computations but will also significantly speed-up the simulations. The second keyword sets the accuracy with which the dispersion coefficients are approximated using a matrix factorization approach. This may result in better accuracy then using the first command, but will usually also not provide an equally good increase of efficiency.

Finally, pppm/disp can also be used when no mixing rules apply. This can be achieved using the kspace_modify mix/disp none command. Note that the code does not check automatically whether any mixing rule is fulfilled. If mixing rules do not apply, the user will have to specify this command explicitly.


6.25. Polarizable models

In polarizable force fields the charge distributions in molecules and materials respond to their electrostatic environements. Polarizable systems can be simulated in LAMMPS using three methods:

  • the fluctuating charge method, implemented in the QEQ package,
  • the adiabatic core-shell method, implemented in the CORESHELL package,
  • the thermalized Drude dipole method, implemented in the USER-DRUDE package.

The fluctuating charge method calculates instantaneous charges on interacting atoms based on the electronegativity equalization principle. It is implemented in the fix qeq which is available in several variants. It is a relatively efficient technique since no additional particles are introduced. This method allows for charge transfer between molecules or atom groups. However, because the charges are located at the interaction sites, off-plane components of polarization cannot be represented in planar molecules or atom groups.

The two other methods share the same basic idea: polarizable atoms are split into one core atom and one satellite particle (called shell or Drude particle) attached to it by a harmonic spring. Both atoms bear a charge and they represent collectively an induced electric dipole. These techniques are computationally more expensive than the QEq method because of additional particles and bonds. These two charge-on-spring methods differ in certain features, with the core-shell model being normally used for ionic/crystalline materials, whereas the so-called Drude model is normally used for molecular systems and fluid states.

The core-shell model is applicable to crystalline materials where the high symmetry around each site leads to stable trajectories of the core-shell pairs. However, bonded atoms in molecules can be so close that a core would interact too strongly or even capture the Drude particle of a neighbor. The Drude dipole model is relatively more complex in order to remediate this and other issues. Specifically, the Drude model includes specific thermostating of the core-Drude pairs and short-range damping of the induced dipoles.

The three polarization methods can be implemented through a self-consistent calculation of charges or induced dipoles at each timestep. In the fluctuating charge scheme this is done by the matrix inversion method in fix qeq/point, but for core-shell or Drude-dipoles the relaxed-dipoles technique would require an slow iterative procedure. These self-consistent solutions yield accurate trajectories since the additional degrees of freedom representing polarization are massless. An alternative is to attribute a mass to the additional degrees of freedom and perform time integration using an extended Lagrangian technique. For the fluctuating charge scheme this is done by fix qeq/dynamic, and for the charge-on-spring models by the methods outlined in the next two sections. The assignment of masses to the additional degrees of freedom can lead to unphysical trajectories if care is not exerted in choosing the parameters of the poarizable models and the simulation conditions.

In the core-shell model the vibration of the shells is kept faster than the ionic vibrations to mimic the fast response of the polarizable electrons. But in molecular systems thermalizing the core-Drude pairs at temperatures comparable to the rest of the simulation leads to several problems (kinetic energy transfer, too short a timestep, etc.) In order to avoid these problems the relative motion of the Drude particles with respect to their cores is kept “cold” so the vibration of the core-Drude pairs is very slow, approaching the self-consistent regime. In both models the temperature is regulated using the velocities of the center of mass of core+shell (or Drude) pairs, but in the Drude model the actual relative core-Drude particle motion is thermostated separately as well.


6.26. Adiabatic core/shell model

The adiabatic core-shell model by Mitchell and Finchham is a simple method for adding polarizability to a system. In order to mimic the electron shell of an ion, a satellite particle is attached to it. This way the ions are split into a core and a shell where the latter is meant to react to the electrostatic environment inducing polarizability.

Technically, shells are attached to the cores by a spring force f = k*r where k is a parametrized spring constant and r is the distance between the core and the shell. The charges of the core and the shell add up to the ion charge, thus q(ion) = q(core) + q(shell). This setup introduces the ion polarizability (alpha) given by alpha = q(shell)^2 / k. In a similar fashion the mass of the ion is distributed on the core and the shell with the core having the larger mass.

To run this model in LAMMPS, atom_style full can be used since atom charge and bonds are needed. Each kind of core/shell pair requires two atom types and a bond type. The core and shell of a core/shell pair should be bonded to each other with a harmonic bond that provides the spring force. For example, a data file for NaCl, as found in examples/coreshell, has this format:

432   atoms  # core and shell atoms
216   bonds  # number of core/shell springs
4     atom types  # 2 cores and 2 shells for Na and Cl
2     bond types
0.0 24.09597 xlo xhi
0.0 24.09597 ylo yhi
0.0 24.09597 zlo zhi
Masses       # core/shell mass ratio = 0.1
1 20.690784  # Na core
2 31.90500   # Cl core
3 2.298976   # Na shell
4 3.54500    # Cl shell
Atoms
1    1    2   1.5005    0.00000000   0.00000000   0.00000000 # core of core/shell pair 1
2    1    4  -2.5005    0.00000000   0.00000000   0.00000000 # shell of core/shell pair 1
3    2    1   1.5056    4.01599500   4.01599500   4.01599500 # core of core/shell pair 2
4    2    3  -0.5056    4.01599500   4.01599500   4.01599500 # shell of core/shell pair 2
(...)
Bonds   # Bond topology for spring forces
1     2     1     2   # spring for core/shell pair 1
2     2     3     4   # spring for core/shell pair 2
(...)

Non-Coulombic (e.g. Lennard-Jones) pairwise interactions are only defined between the shells. Coulombic interactions are defined between all cores and shells. If desired, additional bonds can be specified between cores.

The special_bonds command should be used to turn-off the Coulombic interaction within core/shell pairs, since that interaction is set by the bond spring. This is done using the special_bonds command with a 1-2 weight = 0.0, which is the default value. It needs to be considered whether one has to adjust the special_bonds weighting according to the molecular topology since the interactions of the shells are bypassed over an extra bond.

Note that this core/shell implementation does not require all ions to be polarized. One can mix core/shell pairs and ions without a satellite particle if desired.

Since the core/shell model permits distances of r = 0.0 between the core and shell, a pair style with a “cs” suffix needs to be used to implement a valid long-range Coulombic correction. Several such pair styles are provided in the CORESHELL package. See this doc page for details. All of the core/shell enabled pair styles require the use of a long-range Coulombic solver, as specified by the kspace_style command. Either the PPPM or Ewald solvers can be used.

For the NaCL example problem, these pair style and bond style settings are used:

pair_style      born/coul/long/cs 20.0 20.0
pair_coeff      * *      0.0 1.000   0.00  0.00   0.00
pair_coeff      3 3    487.0 0.23768 0.00  1.05   0.50 #Na-Na
pair_coeff      3 4 145134.0 0.23768 0.00  6.99   8.70 #Na-Cl
pair_coeff      4 4 405774.0 0.23768 0.00 72.40 145.40 #Cl-Cl
bond_style      harmonic
bond_coeff      1 63.014 0.0
bond_coeff      2 25.724 0.0

When running dynamics with the adiabatic core/shell model, the following issues should be considered. Since the relative motion of the core and shell particles corresponds to the polarization, typical thermostats can alter the polarization behaviour, meaning the shell will not react freely to its electrostatic environment. This is critical during the equilibration of the system. Therefore it’s typically desirable to decouple the relative motion of the core/shell pair, which is an imaginary degree of freedom, from the real physical system. To do that, the compute temp/cs command can be used, in conjunction with any of the thermostat fixes, such as fix nvt or fix langevin. This compute uses the center-of-mass velocity of the core/shell pairs to calculate a temperature, and insures that velocity is what is rescaled for thermostatting purposes. This compute also works for a system with both core/shell pairs and non-polarized ions (ions without an attached satellite particle). The compute temp/cs command requires input of two groups, one for the core atoms, another for the shell atoms. Non-polarized ions which might also be included in the treated system should not be included into either of these groups, they are taken into account by the group-ID (2nd argument) of the compute. The groups can be defined using the group *type* command. Note that to perform thermostatting using this definition of temperature, the fix modify temp command should be used to assign the compute to the thermostat fix. Likewise the thermo_modify temp command can be used to make this temperature be output for the overall system.

For the NaCl example, this can be done as follows:

group cores type 1 2
group shells type 3 4
compute CSequ all temp/cs cores shells
fix thermoberendsen all temp/berendsen 1427 1427 0.4    # thermostat for the true physical system
fix thermostatequ all nve                               # integrator as needed for the berendsen thermostat
fix_modify thermoberendsen temp CSequ
thermo_modify temp CSequ                                # output of center-of-mass derived temperature

If compute temp/cs is used, the decoupled relative motion of the core and the shell should in theory be stable. However numerical fluctuation can introduce a small momentum to the system, which is noticable over long trajectories. Therefore it is recomendable to use the fix momentum command in combination with compute temp/cs when equilibrating the system to prevent any drift.

When intializing the velocities of a system with core/shell pairs, it is also desirable to not introduce energy into the relative motion of the core/shell particles, but only assign a center-of-mass velocity to the pairs. This can be done by using the bias keyword of the velocity create command and assigning the compute temp/cs command to the temp keyword of the velocity commmand, e.g.

velocity all create 1427 134 bias yes temp CSequ
velocity all scale 1427 temp CSequ

It is important to note that the polarizability of the core/shell pairs is based on their relative motion. Therefore the choice of spring force and mass ratio need to ensure much faster relative motion of the 2 atoms within the core/shell pair than their center-of-mass velocity. This allow the shells to effectively react instantaneously to the electrostatic environment. This fast movement also limits the timestep size that can be used.

The primary literature of the adiabatic core/shell model suggests that the fast relative motion of the core/shell pairs only allows negligible energy transfer to the environment. Therefore it is not intended to decouple the core/shell degree of freedom from the physical system during production runs. In other words, the compute temp/cs command should not be used during production runs and is only required during equilibration. This way one is consistent with literature (based on the code packages DL_POLY or GULP for instance).

The mentioned energy transfer will typically lead to a a small drift in total energy over time. This internal energy can be monitored using the compute chunk/atom and compute temp/chunk commands. The internal kinetic energies of each core/shell pair can then be summed using the sum() special function of the variable command. Or they can be time/averaged and output using the fix ave/time command. To use these commands, each core/shell pair must be defined as a “chunk”. If each core/shell pair is defined as its own molecule, the molecule ID can be used to define the chunks. If cores are bonded to each other to form larger molecules, the chunks can be identified by the fix property/atom via assigning a core/shell ID to each atom using a special field in the data file read by the read_data command. This field can then be accessed by the compute property/atom command, to use as input to the compute chunk/atom command to define the core/shell pairs as chunks.

For example,

fix csinfo all property/atom i_CSID                       # property/atom command
read_data NaCl_CS_x0.1_prop.data fix csinfo NULL CS-Info  # atom property added in the data-file
compute prop all property/atom i_CSID
compute cs_chunk all chunk/atom c_prop
compute cstherm all temp/chunk cs_chunk temp internal com yes cdof 3.0     # note the chosen degrees of freedom for the core/shell pairs
fix ave_chunk all ave/time 10 1 10 c_cstherm file chunk.dump mode vector

The additional section in the date file would be formatted like this:

CS-Info         # header of additional section
1   1           # column 1 = atom ID, column 2 = core/shell ID
2   1
3   2
4   2
5   3
6   3
7   4
8   4
(...)

6.27. Drude induced dipoles

The thermalized Drude model, similarly to the core-shell model, representes induced dipoles by a pair of charges (the core atom and the Drude particle) connected by a harmonic spring. The Drude model has a number of features aimed at its use in molecular systems (Lamoureux and Roux):

  • Thermostating of the additional degrees of freedom associated with the induced dipoles at very low temperature, in terms of the reduced coordinates of the Drude particles with respect to their cores. This makes the trajectory close to that of relaxed induced dipoles.
  • Consistent definition of 1-2 to 1-4 neighbors. A core-Drude particle pair represents a single (polarizable) atom, so the special screening factors in a covalent structure should be the same for the core and the Drude particle. Drude particles have to inherit the 1-2, 1-3, 1-4 special neighbor relations from their respective cores.
  • Stabilization of the interactions between induced dipoles. Drude dipoles on covalently bonded atoms interact too strongly due to the short distances, so an atom may capture the Drude particle of a neighbor, or the induced dipoles within the same molecule may align too much. To avoid this, damping at short range can be done by Thole functions (for which there are physical grounds). This Thole damping is applied to the point charges composing the induced dipole (the charge of the Drude particle and the opposite charge on the core, not to the total charge of the core atom).

A detailed tutorial covering the usage of Drude induced dipoles in LAMMPS is available here.

As with the core-shell model, the cores and Drude particles should appear in the data file as standard atoms. The same holds for the springs between them, which are described by standard harmonic bonds. The nature of the atoms (core, Drude particle or non-polarizable) is specified via the fix drude command. The special list of neighbors is automatically refactored to account for the equivalence of core and Drude particles as regards special 1-2 to 1-4 screening. It may be necessary to use the extra keyword of the special_bonds command. If using fix shake, make sure no Drude particle is in this fix group.

There are two ways to thermostat the Drude particles at a low temperature: use either fix langevin/drude for a Langevin thermostat, or fix drude/transform/* for a Nose-Hoover thermostat. The former requires use of the command comm_modify vel yes. The latter requires two separate integration fixes like nvt or npt. The correct temperatures of the reduced degrees of freedom can be calculated using the compute temp/drude. This requires also to use the command comm_modify vel yes.

Short-range damping of the induced dipole interactions can be achieved using Thole functions through the the pair style thole in pair_style hybrid/overlay with a Coulomb pair style. It may be useful to use coul/long/cs or similar from the CORESHELL package if the core and Drude particle come too close, which can cause numerical issues.

(Berendsen) Berendsen, Grigera, Straatsma, J Phys Chem, 91, 6269-6271 (1987).

(Cornell) Cornell, Cieplak, Bayly, Gould, Merz, Ferguson, Spellmeyer, Fox, Caldwell, Kollman, JACS 117, 5179-5197 (1995).

(Horn) Horn, Swope, Pitera, Madura, Dick, Hura, and Head-Gordon, J Chem Phys, 120, 9665 (2004).

(Ikeshoji) Ikeshoji and Hafskjold, Molecular Physics, 81, 251-261 (1994).

(MacKerell) MacKerell, Bashford, Bellott, Dunbrack, Evanseck, Field, Fischer, Gao, Guo, Ha, et al, J Phys Chem, 102, 3586 (1998).

(Mayo) Mayo, Olfason, Goddard III, J Phys Chem, 94, 8897-8909 (1990).

(Jorgensen) Jorgensen, Chandrasekhar, Madura, Impey, Klein, J Chem Phys, 79, 926 (1983).

(Price) Price and Brooks, J Chem Phys, 121, 10096 (2004).

(Shinoda) Shinoda, Shiga, and Mikami, Phys Rev B, 69, 134103 (2004).

(Mitchell and Finchham) Mitchell, Finchham, J Phys Condensed Matter, 5, 1031-1038 (1993).

(Lamoureux and Roux) G. Lamoureux, B. Roux, J. Chem. Phys 119, 3025 (2003)