LAMMPS WWW Site - LAMMPS Documentation - LAMMPS Commands

angle_style class2 command

Syntax:

angle_style class2 

Examples:

angle_style class2
angle_coeff * 75.0 

Description:

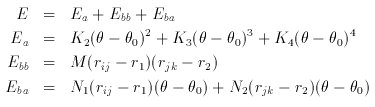
The class2 angle style uses the potential

where Ea is the angle term, Ebb is a bond-bond term, and Eba is a bond-angle term. Theta0 is the equilibrium angle and r1 and r2 are the equilibrium bond lengths.

See (Sun) for a description of the COMPASS class2 force field.

For this style, coefficients for the Ea formula can be specified in the input script or data file. These are the 4 coefficients:

Theta0 is specified in degrees, but LAMMPS converts it to radians internally; hence the units of the various K are in per-radian.

Coefficients for the Ebb and Eba formulas can only be specified in the data file.

For the Ebb formula, the coefficients are listed under a "BondBond Coeffs" heading and each line lists 3 coefficients:

For the Eba formula, the coefficients are listed under a "BondAngle Coeffs" heading and each line lists 4 coefficients:

The theta0 value in the Eba formula is not specified, since it is the same value from the Ea formula.

Restrictions:

This angle style can only be used if LAMMPS was built with the "class2" package. See the Making LAMMPS section for more info on packages.

Related commands:

angle_coeff

Default: none


(Sun) Sun, J Phys Chem B 102, 7338-7364 (1998).